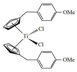
Structure of Titanocene Y
Titanocene Y also known as bis[(p-methoxybenzyl)cyclopentadienyl]titanium(IV) dichloride or dichloridobis(η5-(p-methoxybenzyl)cyclopentadienyl)titanium is an organotitanium compound that has been investigated for use as an anticancer drug.[1]
Discovery
Titanocene dichloride is known to be a potential anticancer drug[2] since the late 1970s. After initial clinical trials against breast and renal-cell cancer were performed with this compound,[3][4] the search for improved derivatives started.[5] Particularly, lipophilic titanocene dichloride derivatives derived from fulvenes[6] were synthesised in structural diversity and this led to the development of bis[(p-methoxybenzyl)cyclopentadienyl]titanium(IV) dichloride,[1] which became better known in the literature under its trivial name of Titanocene Y.
Mechanism of action
Titanocene Y is a cytotoxic apoptosis-inducing[7] and anti-angiogenic[8] drug candidate targeting renal-cell cancer and other solid tumors.[9][10] The compound is transported via serum albumin selectively into cancer cells[11][12] and targets their DNA by coordinating strongly to phosphate groups.[13][14] Additionally, Titanocene Y is able to induce apoptosis via the FAS receptor pathway.[15] Very encouraging is the fact that Titanocene Y is breaking platinum-resistance in human colon and human lung cancer cells,[16] which might make it attractive as a cytotoxic component of future 2nd or 3rd line cancer treatments.
Animal testing
Titanocene Y was tested extensively in vivo; it showed promising results against xenografted human epidermoid carcinoma[17] and prostate cancer,[18] while best results are reached against breast[19] and renal-cell cancer.[20] Titanocene Y can be given in the mouse in high dosages and it shows generally mild toxicity in the form of diarrhea. Titanocene Y is not patent protected and would therefore benefit from non-commercial sponsoring to develop it into a cytotoxic drug candidate for the treatment of advanced renal-cell cancer – an area in need of better therapies.
References
- ↑ 1.0 1.1 "Novel benzyl substituted titanocene anti-cancer drugs". Journal of Organometallic Chemistry 690 (21–22): 4537–4544. 2005. doi:10.1016/j.jorganchem.2005.06.039.
- ↑ "Titanocene dichloride--the first metallocene with cancerostatic activity". Angew. Chem. Int. Ed. Engl. 18 (6): 477–478. 1979. doi:10.1002/anie.197904771. PMID 111586.
- ↑ "Phase II Clinical Trial of Titanocene Dichloride in Patients with Metastatic Breast Cancer". Onkologie 23 (1): 60–62. 2000. doi:10.1159/000027075.
- ↑ "Phase II trial of titanocene dichloride in advanced renal-cell carcinoma". Cancer Chemother. Pharmacol. 42 (5): 415–417. 1998. doi:10.1007/s002800050838. PMID 9771957.
- ↑ "Functionalized Cyclopentadienyl Titanium Organometallic Compounds as New Antitumor Drugs". Organometallics 23 (2): 288–292. 2004. doi:10.1021/om030403i.
- ↑ "Bioorganometallic fulvene-derived titanocene anti-cancer drugs". Chem Soc Rev 37 (6): 1174–1187. 2008. doi:10.1039/b707310k. PMID 18497930.
- ↑ "Novel titanocene anti-cancer drugs and their effect on apoptosis and the apoptotic pathway in prostate cancer cells". Apoptosis 11 (7): 1205–1214. 2006. doi:10.1007/s10495-006-6796-1. PMID 16699961.
- ↑ "Analyses of Titanocenes in the spheroid-based cellular angiogenesis assay". Toxicol in Vitro 22 (2): 531–534. 2008. doi:10.1016/j.tiv.2007.09.014. PMID 17981007.
- ↑ "In-vitro anti-tumor activity studies of bridged and unbridged benzyl-substituted titanocenes". Anticancer Drugs 16 (10): 1091–1098. 2005. doi:10.1097/00001813-200511000-00008. PMID 16222151.
- ↑ "Antiproliferative activity of Titanocene Y against tumor colony-forming units". Anticancer Drugs 18 (3): 317–321. 2007. doi:10.1097/CAD.0b013e3280115f86. PMID 17264765.
- ↑ "Proliferative and anti-proliferative effects of titanium- and iron-based metallocene anti-cancer drugs". Journal of Organometallic Chemistry 694 (6): 874–879. 2009. doi:10.1016/j.jorganchem.2008.11.071.
- ↑ "Titanocene Y – Transport and Targeting of an Anticancer Drug Candidate". Letters in Drug Design & Discovery 10 (8): 675–682. 2013. doi:10.2174/15701808113100890027.
- ↑ Tacke M (2008). "The Interaction of Titanocene Y with Double-Stranded DNA: A Computational Study". Letters in Drug Design & Discovery 5 (5): 332–335. doi:10.2174/157018008784912036.
- ↑ "Binding and hydrolysis studies of antitumoural titanocene dichloride and Titanocene Y with phosphate diesters". J. Inorg. Biochem. 104 (4): 390–396. 2010. doi:10.1016/j.jinorgbio.2009.11.010. PMID 20036426.
- ↑ "The role of the intrinsic FAS pathway in Titanocene Y apoptosis: The mechanism of overcoming multiple drug resistance in malignant leukemia cells". Toxicol in Vitro 26 (1): 119–124. 2012. doi:10.1016/j.tiv.2011.09.010. PMID 21986259.
- ↑ Hilger A, Alex D, Deally A, Gleeson B, Tacke M, Ralf (2011). "Titanocene Y and Vanadocene Y: Platinum Resistance-Breaking Cytotoxic and DNA-Targeting Anticancer Drug Candidates". Letters in Drug Design & Discovery 8 (10): 904–910. doi:10.2174/157018011797655241.
- ↑ "Substituted titanocenes induce caspase-dependent apoptosis in human epidermoid carcinoma cells in vitro and exhibit antitumour activity in vivo". Br. J. Cancer 97 (9): 1234–1241. 2007. doi:10.1038/sj.bjc.6604021. PMID 17923871.
- ↑ "Antitumor activity of Titanocene Y in xenografted PC3 tumors in mice". Letters in Drug Design & Discovery 5 (2): 141–144. 2008. doi:10.2174/157018008783928463.
- ↑ "Antitumor activity of Titanocene Y against freshly explanted human breast tumor cells and in xenografted MCF-7 tumors in mice". Anticancer Drugs 18 (3): 311–315. 2007. doi:10.1097/CAD.0b013e328010a6f7. PMID 17264764.
- ↑ "Antitumor activity of Titanocene Y in xenografted CAKI-1 tumors in mice". Anticancer Drugs 17 (3): 333–336. 2006. doi:10.1097/00001813-200603000-00012. PMID 16520662.
External links
- Titanocene Y at the US National Library of Medicine Medical Subject Headings (MeSH)
Titanium compounds |
|---|
| Titanium(II) | | Organotitanium(II) compounds | [(C5H5)2Ti(CO)2] |
|---|
|
|---|
| Titanium(III) |
- TiAl
- TiBr3
- TiCl3
- TiF3
- TiI3
- TiN
- TiP
- Ti2O3
- Ti2S3
| Organotitanium(III) compounds | [(C5H5)2TiCl]2 |
|---|
|
|---|
| Titanium(IV) |
- TiB2
- TiBr4
- TiC
- TiCl4
- Ti(ClO4)4
- TiF4
- H2TiF6
- TiH4
- TiI4
- Ti(NMe2)4
- Ti(NO3)4
- TiO2
- H4TiO4
- Ti4(OCH2CH3)16
- Ti(OCH(CH3)2)4
- Ti(OCH2CH2CH2CH3)4
- KTiOPO4
- NiO·Sb2O3·20TiO2
- TiS2
- TiSe2
- TiSi2
| Titanate compounds |
BaTiO3
Ba2TiO4
Bi4Ti3O12
CaTiO3
CaCu3Ti4O12
CaZrTi2O7
Cs2TiO3
Dy2Ti2O7
EuBaTiO4
FeTiO3
Ho2Ti2O7
Li2TiO3
MnTiO3
Na2Ti3O7
Na0.5Bi0.5TiO3
NiTiO3
PbTiO3
Pb(Zr,Ti)O3
SrTiO3
ZnTiO3
|
|---|
| Organotitanium(IV) compounds |
- [(C5H5)2TiCl2]
- [(C5H5)2Ti(CH3)2]
- [(C5H5)2TiS5]
- [(C5H5)2Ti(μ-Cl)(μ-CH2)Al(CH3)2]
- [(η5-C5H4-CH2C6H4OCH3)2TiCl2]
|
|---|
|
|---|
 | Original source: https://en.wikipedia.org/wiki/Titanocene Y. Read more |