Short description: Measure that is 1 if and only if a specified element is in the set
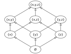
A diagram showing all possible subsets of a 3-point set
{x,y,z}. The Dirac measure
δx assigns a size of 1 to all sets in the upper-left half of the diagram and 0 to all sets in the lower-right half.
In mathematics, a Dirac measure assigns a size to a set based solely on whether it contains a fixed element x or not. It is one way of formalizing the idea of the Dirac delta function, an important tool in physics and other technical fields.
Definition
A Dirac measure is a measure δx on a set X (with any σ-algebra of subsets of X) defined for a given x ∈ X and any (measurable) set A ⊆ X by
- [math]\displaystyle{ \delta_x (A) = 1_A(x)= \begin{cases} 0, & x \not \in A; \\ 1, & x \in A. \end{cases} }[/math]
where 1A is the indicator function of A.
The Dirac measure is a probability measure, and in terms of probability it represents the almost sure outcome x in the sample space X. We can also say that the measure is a single atom at x; however, treating the Dirac measure as an atomic measure is not correct when we consider the sequential definition of Dirac delta, as the limit of a delta sequence[dubious – discuss]. The Dirac measures are the extreme points of the convex set of probability measures on X.
The name is a back-formation from the Dirac delta function; considered as a Schwartz distribution, for example on the real line, measures can be taken to be a special kind of distribution. The identity
- [math]\displaystyle{ \int_{X} f(y) \, \mathrm{d} \delta_x (y) = f(x), }[/math]
which, in the form
- [math]\displaystyle{ \int_X f(y) \delta_x (y) \, \mathrm{d} y = f(x), }[/math]
is often taken to be part of the definition of the "delta function", holds as a theorem of Lebesgue integration.
Properties of the Dirac measure
Let δx denote the Dirac measure centred on some fixed point x in some measurable space (X, Σ).
- δx is a probability measure, and hence a finite measure.
Suppose that (X, T) is a topological space and that Σ is at least as fine as the Borel σ-algebra σ(T) on X.
- δx is a strictly positive measure if and only if the topology T is such that x lies within every non-empty open set, e.g. in the case of the trivial topology {∅, X}.
- Since δx is probability measure, it is also a locally finite measure.
- If X is a Hausdorff topological space with its Borel σ-algebra, then δx satisfies the condition to be an inner regular measure, since singleton sets such as {x} are always compact. Hence, δx is also a Radon measure.
- Assuming that the topology T is fine enough that {x} is closed, which is the case in most applications, the support of δx is {x}. (Otherwise, supp(δx) is the closure of {x} in (X, T).) Furthermore, δx is the only probability measure whose support is {x}.
- If X is n-dimensional Euclidean space Rn with its usual σ-algebra and n-dimensional Lebesgue measure λn, then δx is a singular measure with respect to λn: simply decompose Rn as A = Rn \ {x} and B = {x} and observe that δx(A) = λn(B) = 0.
- The Dirac measure is a sigma-finite measure.
Generalizations
A discrete measure is similar to the Dirac measure, except that it is concentrated at countably many points instead of a single point. More formally, a measure on the real line is called a discrete measure (in respect to the Lebesgue measure) if its support is at most a countable set.
See also
- Discrete measure
- Dirac delta function
References
- Dieudonné, Jean (1976). "Examples of measures". Treatise on analysis, Part 2. Academic Press. p. 100. ISBN 0-12-215502-5. https://books.google.com/books?id=7rCKMyHfd_EC&pg=PA100.
- Benedetto, John (1997). "§2.1.3 Definition, δ". Harmonic analysis and applications. CRC Press. p. 72. ISBN 0-8493-7879-6. https://books.google.com/books?id=_SCeYgvPgoYC&pg=PA72.''δ''&rft.atitle=Harmonic+analysis+and+applications&rft.aulast=Benedetto&rft.aufirst=John&rft.au=Benedetto, John&rft.date=1997&rft.pages=p. 72&rft.pub=CRC+Press&rft.isbn=0-8493-7879-6&rft_id=&rfr_id=info:sid/en.wikibooks.org:Dirac_measure">
 | Original source: https://en.wikipedia.org/wiki/Dirac measure. Read more |