Methylphenidate

From Mdwiki

Methylphenidate
Methylphenidate-2D-skeletal.svg
Methylphenidate-enantiomers-3D-balls.png
Names
Pronunciation/ˌmɛθəlˈfɛnɪdt, -ˈf-/
Trade namesRitalin, Concerta, others
  • Methyl phenyl(piperidin-2-yl)acetate
Clinical data
Drug classCNS stimulant
Main usesADHD, narcolepsy[1]
Side effectsDifficulty sleeping, decreased appetite, anxiety, weight loss[1]
Dependence riskHigh[1]
Addiction riskHigh[2]
Pregnancy
category
  • AU: B3
  • US: C (Risk not ruled out)
Routes of
use
By mouth, transdermal[1]
Defined daily dose30 mg[3]
External links
AHFS/Drugs.comMonograph
MedlinePlusa682188
Legal
License data
Legal status
Pharmacokinetics
BioavailabilityApprox. 30% (range: 11–52%)
Protein binding10–33%
MetabolismLiver (80%) mostly CES1A1-mediated
Elimination half-life2–3 hours[4]
ExcretionUrine (90%)
Chemical and physical data
FormulaC14H19NO2
Molar mass233.31 g/mol
3D model (JSmol)
Melting point74 °C (165 °F) [5]
Boiling point136 °C (277 °F) [5]
  • O=C(OC)C(C1CCCCN1)C2=CC=CC=C2
  • InChI=1S/C14H19NO2/c1-17-14(16)13(11-7-3-2-4-8-11)12-9-5-6-10-15-12/h2-4,7-8,12-13,15H,5-6,9-10H2,1H3 checkY
  • Key:DUGOZIWVEXMGBE-UHFFFAOYSA-N checkY

Methylphenidate, sold under the trade name Ritalin among others, is a stimulant medication used to treat attention deficit hyperactivity disorder (ADHD) and narcolepsy.[1] It is a first line medication for ADHD.[1] It may be taken by mouth or applied to the skin.[1] Different formulations have varying durations of effect.[1]

Common side effects of methylphenidate include difficulty sleeping, decreased appetite, anxiety, and weight loss.[1] More serious side effects may include psychosis, allergic reactions, prolonged erections, substance abuse, and heart problems.[1] Methylphenidate is believed to work by blocking dopamine and norepinephrine reuptake by neurons.[6][7] Methylphenidate is a central nervous system (CNS) stimulant of the phenethylamine and piperidine classes.[1][8]

Methylphenidate was first made in 1944 and was approved for medical use in the United States in 1955.[1][9] It was originally sold by Swiss company CIBA, now Novartis Corporation.[9] It is estimated that in 2013, 2.4 billion doses of methylphenidate were taken worldwide.[10] In 2017, it was the 47th-most commonly prescribed medication in the United States, with more than 16 million prescriptions.[11][12] It is available as a generic medication.[1] In the United States, the wholesale cost of the immediate release formulation is less than US$0.30 per dose as of 2018.[13]

Uses[edit | edit source]

Methylphenidate is most commonly used to treat ADHD and narcolepsy.[14]

Attention deficit hyperactivity disorder[edit | edit source]

Methylphenidate is used for the treatment of attention deficit hyperactivity disorder.[15] The addition of behavioural modification therapy can have additional benefits on treatment outcome.[16][17] The dosage may vary and is titrated to effect.[18][19]

The short-term benefits and cost effectiveness of methylphenidate are well established.[20][21] A number of reviews have established the safety and effectiveness of the stimulants for individuals with ADHD over several years.[22][23][24] A 2018 review found tentative evidence that it may cause both serious and non-serious adverse effects in children.[25] The precise magnitude of improvements in ADHD symptoms and quality of life that are produced by methylphenidate treatment remains uncertain as of November 2015.[26] The World Health Organization, however, did not add methylphenidate to the World Health Organization Essential Medicines List as they found the evidence for benefits versus harms to be unclear in ADHD.[27]

Approximately 70% of those who use methylphenidate see improvements in ADHD symptoms.[28][29] Children with ADHD who use stimulant medications generally have better relationships with peers and family members,[22][28] perform better in school, are less distractible and impulsive, and have longer attention spans.[22][28] People with ADHD have an increased risk of substance use disorders without treatment, and stimulant medications reduce this risk.[30][31] Some studies suggest that since ADHD diagnosis is increasing significantly around the world, using the drug may cause more harm than good in some populations using methylphenidate as a "study drug".[32] This applies to people who potentially may be experiencing a different issue and are misdiagnosed with ADHD.[32] People in this category can then experience negative side-effects of the drug which worsen their condition, and make it harder for them to receive adequate care as providers around them may believe the drugs are sufficient and the problem lies with the user.[32] Methylphenidate is not approved for children under six years of age.[33][34] Immediate release methylphenidate is used daily along with the longer-acting form to achieve full-day control of symptoms.[19][35]: 722 

Narcolepsy[edit | edit source]

Narcolepsy, a chronic sleep disorder characterized by overwhelming daytime drowsiness and uncontrollable sleep, is treated primarily with stimulants. Methylphenidate is considered effective in increasing wakefulness, vigilance, and performance.[36] Methylphenidate improves measures of somnolence on standardized tests, such as the Multiple Sleep Latency Test (MSLT), but performance does not improve to levels comparable to healthy people.[37]

Other medical uses[edit | edit source]

Methylphenidate may also be prescribed for off-label use in treatment-resistant cases of bipolar disorder and major depressive disorder.[38] It can also improve depression in several groups including stroke, cancer, and HIV-positive patients.[39] However, the use of stimulants such as methylphenidate in cases of treatment-resistant depression is controversial.[40] Stimulants may have fewer side-effects than tricyclic antidepressants in the elderly and medically ill.[41] In individuals with terminal cancer, methylphenidate can be used to counteract opioid-induced somnolence, to increase the analgesic effects of opioids, to treat depression, and to improve cognitive function.[42]

Enhancing performance[edit | edit source]

A 2015 review found that therapeutic doses of amphetamine and methylphenidate result in modest improvements in cognition, including working memory, episodic memory, and inhibitory control, in normal healthy adults;[43][44] the cognition-enhancing effects of these drugs are known to occur through the indirect activation of both dopamine receptor D1 and adrenoceptor α2 in the prefrontal cortex.[43] Methylphenidate and other ADHD stimulants also improve task saliency and increase arousal.[45][46] Stimulants such as amphetamine and methylphenidate can improve performance on difficult and boring tasks,[45][46][47] and are used by some students as a study and test-taking aid.[32][48] Based upon studies of self-reported illicit stimulant use, performance-enhancing use rather than use as a recreational drug, is the primary reason that students use stimulants.[49]

Excessive doses of methylphenidate, above the therapeutic range, can interfere with working memory and cognitive control.[45][46] Like amphetamine and bupropion, methylphenidate increases stamina and endurance in humans primarily through reuptake inhibition of dopamine in the central nervous system.[50] Similar to the loss of cognitive enhancement when using large amounts, large doses of methylphenidate can induce side effects that impair athletic performance, such as rhabdomyolysis and hyperthermia.[51] While literature suggests it might improve cognition, most authors agree that using the drug recreationally as a study aid when ADHD diagnosis is not present does not actually improve GPA.[32] Moreover, it has been suggested that students who use the drug for studying may be self-medicating for potentially deeper underlying issues.[32]

Dosage[edit | edit source]

The defined daily dose is 30 mg by mouth.[3]

Contraindications[edit | edit source]

Methylphenidate is contraindicated for individuals using monoamine oxidase inhibitors (e.g., phenelzine, and tranylcypromine), or individuals with agitation, tics, glaucoma, or a hypersensitivity to any ingredients contained in methylphenidate pharmaceuticals.[52]

The US Food and Drug Administration (FDA) gives methylphenidate a pregnancy category of C, and women are advised to only use the drug if the benefits outweigh the potential risks.[53] Not enough human studies have been conducted to conclusively demonstrate an effect of methylphenidate on fetal development.[54] In 2018, a review concluded that it has not been teratogenic in rats and rabbits, and that it "is not a major human teratogen".[55]

Side effects[edit | edit source]

Addiction experts in psychiatry, chemistry, pharmacology, forensic science, epidemiology, and the police and legal services engaged in delphic analysis regarding 20 popular recreational drugs. Methylphenidate was ranked 13th in dependence, 12th in physical harm, and 18th in social harm.[56]

The most common side effects include appetite loss, dry mouth, anxiety, nausea, and insomnia. Gastrointestinal adverse effects may include abdominal pain and weight loss. Nervous system adverse effects may include akathisia (agitation/restlessness), irritability, dyskinesia (tics), lethargy (drowsiness/fatigue), and dizziness. Cardiac adverse effects may include palpitations, changes in blood pressure and heart rate (typically mild), and tachycardia (rapid heart rate).[57] Ophthalmologic adverse effects may include blurred vision and dry eyes, with less frequent reports of diplopia and mydriasis.[58]

There is some evidence of mild reductions in height with prolonged treatment in children.[59] This has been estimated at 1 centimetre (0.4 in) or less per year during the first three years with a total decrease of 3 centimetres (1.2 in) over 10 years.[60][61]

Hypersensitivity (including skin rash, urticaria, and fever) is sometimes reported when using transdermal methylphenidate. The Daytrana patch has a much higher rate of skin reactions than oral methylphenidate.[62]

Methylphenidate can worsen psychosis in people who are psychotic, and in very rare cases it has been associated with the emergence of new psychotic symptoms.[63] It should be used with extreme caution in people with bipolar disorder due to the potential induction of mania or hypomania.[64] There have been very rare reports of suicidal ideation, but some authors claim that evidence does not support a link.[59] Logorrhea is occasionally reported. Libido disorders, disorientation, and hallucinations are very rarely reported. Priapism is a very rare adverse event that can be potentially serious.[65]

USFDA-commissioned studies from 2011 indicate that in children, young adults, and adults there is no association between serious adverse cardiovascular events (sudden death, heart attack, and stroke) and the medical use of methylphenidate or other ADHD stimulants.[66]

Because some adverse effects may only emerge during chronic use of methylphenidate, a constant watch for adverse effects is recommended.[67]

A 2018 Cochrane review found that methylphenidate might be associated with serious side effects such as heart problems, psychosis, and death; the certainty of the evidence was stated as very low and the actual risk might be higher.[68]

Overdose[edit | edit source]

The symptoms of a moderate acute overdose on methylphenidate primarily arise from central nervous system overstimulation; these symptoms include: vomiting, nausea, agitation, tremors, hyperreflexia, muscle twitching, euphoria, confusion, hallucinations, delirium, hyperthermia, sweating, flushing, headache, tachycardia, heart palpitations, cardiac arrhythmias, hypertension, mydriasis, and dryness of mucous membranes.[51][69] A severe overdose may involve symptoms such as hyperpyrexia, sympathomimetic toxidrome, convulsions, paranoia, stereotypy (a repetitive movement disorder), rapid muscle breakdown, coma, and circulatory collapse.[51][69][70] A methylphenidate overdose is rarely fatal with appropriate care.[70] Following injection of methylphenidate tablets into an artery, severe toxic reactions involving abscess formation and necrosis have been reported.[71]

Treatment of a methylphenidate overdose typically involves the administration of benzodiazepines, with antipsychotics, α-adrenoceptor agonists and propofol serving as second-line therapies.[70]

Addiction and dependence[edit | edit source]

ΔFosB accumulation from excessive drug use
ΔFosB accumulation graph
Top: this depicts the initial effects of high dose exposure to an addictive drug on gene expression in the nucleus accumbens for various Fos family proteins (i.e., c-Fos, FosB, ΔFosB, Fra1, and Fra2).
Bottom: this illustrates the progressive increase in ΔFosB expression in the nucleus accumbens following repeated twice daily drug binges, where these phosphorylated (35–37 kilodalton) ΔFosB isoforms persist in the D1-type medium spiny neurons of the nucleus accumbens for up to 2 months.[72][73]

Methylphenidate is a stimulant with an addiction liability and dependence liability similar to amphetamine. It has moderate liability among addictive drugs;[74][75] accordingly, addiction and psychological dependence are possible and likely when methylphenidate is used at high doses as a recreational drug.[75][76] When used above the medical dose range, stimulants are associated with the development of stimulant psychosis.[77] As with all addictive drugs, the overexpression of ΔFosB in D1-type medium spiny neurons in the nucleus accumbens is implicated in methylphenidate addiction.[76][78]

Methylphenidate has shown some benefits as a replacement therapy for individuals who are addicted to and dependent upon methamphetamine.[79] Methylphenidate and amphetamine have been investigated as a chemical replacement for the treatment of cocaine addiction[80][81][82][83] in the same way that methadone is used as a replacement drug for physical dependence upon heroin. Its effectiveness in treatment of cocaine or psychostimulant addiction, or psychological dependence has not been proven and further research is needed.[84]

Biomolecular mechanisms[edit | edit source]

Methylphenidate has the potential to induce euphoria due to its pharmacodynamic effect (i.e., dopamine reuptake inhibition) in the brain's reward system.[78] At therapeutic doses, ADHD stimulants do not sufficiently activate the reward system, or the reward pathway in particular, to the extent necessary to cause persistent increases in ΔFosB gene expression in the D1-type medium spiny neurons of the nucleus accumbens;[75][78][85] consequently, when taken as directed in doses that are commonly prescribed for the treatment of ADHD, methylphenidate use lacks the capacity to cause an addiction.[75][78][85] However, when methylphenidate is used at sufficiently high recreational doses through a bioavailable route of administration (e.g., insufflation or intravenous administration), particularly for use of the drug as a euphoriant, ΔFosB accumulates in the nucleus accumbens.[75][78] Hence, like any other addictive drug, regular recreational use of methylphenidate at high doses eventually gives rise to ΔFosB overexpression in D1-type neurons which subsequently triggers a series of gene transcription-mediated signaling cascades that induce an addiction.[78][85][86]

Interactions[edit | edit source]

Methylphenidate may inhibit the metabolism of vitamin K anticoagulants, certain anticonvulsants, and some antidepressants (tricyclic antidepressants, and selective serotonin reuptake inhibitors). Concomitant administration may require dose adjustments, possibly assisted by monitoring of plasma drug concentrations.[87] There are several case reports of methylphenidate inducing serotonin syndrome with concomitant administration of antidepressants.[88][89][90][91]

When methylphenidate is coingested with ethanol, a metabolite called ethylphenidate is formed via liver transesterification,[92][93] not unlike the hepatic formation of cocaethylene from cocaine and ethanol. The reduced potency of ethylphenidate and its minor formation means it does not contribute to the pharmacological profile at therapeutic doses and even in overdose cases ethylphenidate concentrations remain negligible.[94][93]

Coingestion of alcohol (ethanol) also increases the blood plasma levels of d-methylphenidate by up to 40%.[95]

Liver toxicity from methylphenidate is extremely rare, but limited evidence suggests that intake of β-adrenergic agonists with methylphenidate may increase the risk of liver toxicity.[96]

Pharmacology[edit | edit source]

Pharmacodynamics[edit | edit source]

Binding profile[97][98][99]
Neurotransmitter
transporter
Measure
(units)
dl-MPH d-MPH l-MPH
DAT Ki (nM) 121 161 2250
IC50 (nM) 20 23 1600
NET Ki (nM) 788 206 >10000
IC50 (nM) 51 39 980
SERT Ki (nM) >10000 >10000 >6700
IC50 (nM) >10000 >10000
GPCR Measure
(units)
dl-MPH d-MPH l-MPH
5-HT1A Ki (nM) 5000 3400 >10000
IC50 (nM) 10000 6800 >10000
5-HT2B Ki (nM) >10000 4700 >10000
IC50 (nM) >10000 4900 >10000

Methylphenidate primarily acts as a norepinephrine–dopamine reuptake inhibitor (NDRI). It is a benzylpiperidine and phenethylamine derivative which also shares part of its basic structure with catecholamines.

Methylphenidate is a psychostimulant and increases the activity of the central nervous system through inhibition on reuptake of the neurotransmitters norepinephrine and dopamine. As models of ADHD suggest, it is associated with functional impairments in some of the brain's neurotransmitter systems, particularly those involving dopamine in the mesocortical and mesolimbic pathways and norepinephrine in the prefrontal cortex and locus coeruleus.[100] Psychostimulants like methylphenidate and amphetamine may be effective in treating ADHD because they increase neurotransmitter activity in these systems. When reuptake of those neurotransmitters is halted, its concentration and effects in the synapse increase and last longer, respectively. Therefore, methylphenidate is called a norepinephrine–dopamine reuptake inhibitor.[94] By increasing the effects of norepinephrine and dopamine, methylphenidate increased the activity of the central nervous system and produced effects such as increased alertness, combated fatigue, and improved attention.[101] [100]

Methylphenidate is most active at modulating levels of dopamine (DA) and to a lesser extent norepinephrine.[102] Methylphenidate binds to and blocks dopamine transporters (DAT) and norepinephrine transporters.[103] Variability exists between DAT blockade, and extracellular dopamine, leading to the hypothesis that methylphenidate amplifies basal dopamine activity, leading to nonresponse in those with low basal DA activity.[104] On average, methylphenidate elicits a 3–4 times increase in dopamine and norepinephrine in the striatum and prefrontal cortex.[105] Magnetic resonance imaging (MRI) studies suggest that long-term treatment with ADHD stimulants (specifically, amphetamine and methylphenidate) decreases abnormalities in brain structure and function found in subjects with ADHD.[106][107][108]

Both amphetamine and methylphenidate are predominantly dopaminergic drugs, yet their mechanisms of action are distinct. Methylphenidate acts as a norepinephrine–dopamine reuptake inhibitor, while amphetamine is both a releasing agent and reuptake inhibitor of dopamine and norepinephrine. Methylphenidate's mechanism of action in the release of dopamine and norepinephrine is fundamentally different from most other phenethylamine derivatives, as methylphenidate is thought to increase neuronal firing rate,[109][110][111][112] whereas amphetamine reduces firing rate, but causes monoamine release by reversing the flow of the monoamines through monoamine transporters via a diverse set of mechanisms, including TAAR1 activation and modulation of VMAT2 function, among other mechanisms.[113][114][115] The difference in mechanism of action between methylphenidate and amphetamine results in methylphenidate inhibiting amphetamine's effects on monoamine transporters when they are co-administered.[113]

Methylphenidate has both dopamine transporter and norepinephrine transporter binding affinity, with the dextromethylphenidate enantiomers displaying a prominent affinity for the norepinephrine transporter. Both the dextrorotary and levorotary enantiomers displayed receptor affinity for the serotonergic 5HT1A and 5HT2B subtypes, though direct binding to the serotonin transporter was not observed.[99] A later study confirmed the d-threo-methylphenidate (dexmethylphenidate) binding to the 5HT1A receptor, but no significant activity on the 5HT2B receptor was found.[116]

Methylphenidate may protect neurons from the neurotoxic effects of Parkinson's disease and methamphetamine abuse.[117] The hypothesized mechanism of neuroprotection is through inhibition of methamphetamine-DAT interactions, and through reducing cytosolic dopamine, leading to decreased production of dopamine-related reactive oxygen species.[117]

The dextrorotary enantiomers are significantly more potent than the levorotary enantiomers, and some medications therefore only contain dexmethylphenidate.[102] The studied maximized daily dosage of methyphenidate appears to be 144 mg/day.[118]

Pharmacokinetics[edit | edit source]

Methylphenidate taken orally has a bioavailability of 11–52% with a duration of peak action around 2–4 hours for instant release (i.e. Ritalin), 3–8 hours for sustained release (i.e. Ritalin SR), and 8–12 hours for extended release (i.e. Concerta). The half-life of methylphenidate is 2–3 hours, depending on the individual. The peak plasma time is achieved at about 2 hours.[4] Methylphenidate has a low plasma protein binding of 10-33% and a volume of distribution of 2.65L/kg.[119]

Dextromethylphenidate is much more bioavailable than levomethylphenidate when administered orally, and is primarily responsible for the psychoactivity of racemic methylphenidate.[4]

Contrary to the expectation, taking methylphenidate with a meal speeds absorption.[120] The effects of a high fat meal on the observed Cmax differ between some extended release formulations, with combined IR/ER and OROS formulations showing reduced Cmax levels[121] while liquid-based extended release formulations showed increased Cmax levels when administered with a high fat meal.[122]

Methylphenidate is metabolized into ritalinic acid by CES1A1, enzymes in the liver. Dextromethylphenidate is selectively metabolized at a slower rate than levomethylphenidate.[123] 97% of the metabolised drug is excreted in the urine, and between 1 and 3% is excreted in the faeces. A small amount, less than 1%, of the drug is excreted in the urine in its unchanged form.[119]

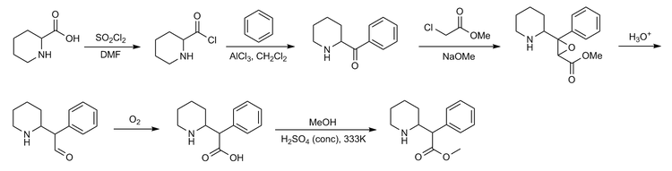
Chemistry[edit | edit source]

Four isomers of methylphenidate are possible, since the molecule has two chiral centers. One pair of threo isomers and one pair of erythro are distinguished, from which primarily d-threo-methylphenidate exhibits the pharmacologically desired effects.[102][124] The erythro diastereomers are pressor amines, a property not shared with the threo diastereomers. When the drug was first introduced it was sold as a 4:1 mixture of erythro:threo diastereomers, but it was later reformulated to contain only the threo diastereomers. "TMP" refers to a threo product that does not contain any erythro diastereomers, i.e. (±)-threo-methylphenidate. Since the threo isomers are energetically favored, it is easy to epimerize out any of the undesired erythro isomers. The drug that contains only dextrorotatory methylphenidate is sometimes called d-TMP, although this name is only rarely used and it is much more commonly referred to as dexmethylphenidate, d-MPH, or d-threo-methylphenidate. A review on the synthesis of enantiomerically pure (2R,2'R)-(+)-threo-methylphenidate hydrochloride has been published.[125]

Methylphenidate synthesis
Methylphenidate synthesis graphic
Method 1: Methylphenidate preparation elucidated by Axten et al. (1998)[126] via Bamford-Stevens reaction.
Methylphenidate synthesis graphic
Method 2: Classic methylphenidate synthesis[127]
Methylphenidate synthesis graphic
Method 3: Another synthesis route of methylphenidate which applies Darzens reaction to obtain aldehyde as an intermediate. This route is significant for its selectivity.

Detection in biological fluids[edit | edit source]

The concentration of methylphenidate or ritalinic acid, its major metabolite, may be quantified in plasma, serum or whole blood in order to monitor compliance in those receiving the drug therapeutically, to confirm the diagnosis in potential poisoning victims or to assist in the forensic investigation in a case of fatal overdosage.[128]

History[edit | edit source]

Methylphenidate was first made in 1944,[129] and was identified as a stimulant in 1954.[130]

Methylphenidate was synthesized by Ciba (now Novartis) chemist Leandro Panizzon. He named the drug after his wife, nicknamed Rita, who used Ritalin to compensate for low blood pressure.[131]

Originally it was marketed as a mixture of two racemates, 80% (±)-erythro and 20% (±)-threo. Subsequent studies of the racemates showed that the central stimulant activity is associated with the threo racemate and were focused on the separation and interconversion of the erythro isomer into the more active threo isomer.[132][133][134]

Methylphenidate was first used to allay barbiturate-induced coma, narcolepsy and depression.[135] It was later used to treat memory deficits in the elderly.[136] Beginning in the 1960s, it was used to treat children with ADHD based on earlier work starting with the studies by American psychiatrist Charles Bradley[137] on the use of psychostimulant drugs, such as Benzedrine, with then called "maladjusted children".[138] Production and prescription of methylphenidate rose significantly in the 1990s, especially in the United States, as the ADHD diagnosis came to be better understood and more generally accepted within the medical and mental health communities.[139]

In 2000, ALZA Corporation received US FDA approval to market "Concerta", an extended-release form of methylphenidate.[140]

Society and culture[edit | edit source]

Names[edit | edit source]

German "Ritalin" brand methylphenidate

Methylphenidate is produced in the United States, Switzerland, Canada, Mexico, Spain, Sweden, Pakistan, and India. It is also sold in the majority of countries worldwide (although in much lower volumes than in the United States).[141]: 8–9  Brand names for methylphenidate include Ritalin, Concerta,[142] Medikinet, Adaphen, Addwize, Artige, Attenta, Cognil, Equasym, Inspiral, Methylin, Penid, Phenida, Prohiper, and Tradea.[141]: 8–9  Generic forms are produced by numerous pharmaceutical companies throughout the world.

Available forms[edit | edit source]

Clockwise from top: Concerta 18 mg, Medikinet 30 mg, Methylphenidat TAD 10 mg, Ritalin 10 mg, Medikinet XL 30 mg.

Methylphenidate is available in numerous forms, and a doctor will determine the appropriate formulation of the drug to prescribe based on the patient's history, the doctor's experiences treating other patients with methylphenidate products, and product pricing or availability. Currently available forms include a variety of tablets and capsules, an adhesive-based matrix transdermal system (transdermal patch), and an oral suspension (liquid syrup).

The dextrorotary enantiomer of methylphenidate, known as dexmethylphenidate, is sold as a generic and under the brand names Focalin and Attenade in both an immediate-release and an extended-release form. In some circumstances it may be prescribed instead of methylphenidate, however it has no significant advantages over methylphenidate at equipotent dosages and so it is sometimes considered to be an example of an evergreened drug.[143]

Immediate-release[edit | edit source]

Structural formula for the substance among Ritalin tablet series. (Ritalin, Ritalin LA, Ritalin SR.) The volume of distribution was 2.65±1.11 L/kg for d-methylphenidate and 1.80±0.91 L/kg for l-methylphenidate subsequent to swallow of Ritalin tablet.[144]

Methylphenidate was originally available as an immediate-release racemic mixture formulation under the Novartis trademark name Ritalin, although a variety of generics are now available, some under other brand names. Generic brand names include Ritalina, Rilatine, Attenta, Medikinet, Metadate, Methylin, Penid, Tranquilyn, and Rubifen.

Extended-release[edit | edit source]

Structural formula for the substance inside Concerta tablet. Following administration of CONCERTA®, plasma concentrations of the l-isomer were approximately 1/40 the plasma concentrations of the d-isomer.[145]

Extended-release methylphenidate products include:

Brand name(s) Generic name(s)[lower-alpha 1] Duration Dosage
form
Aptensio XR (US);
Biphentin (CA)
Currently unavailable 12 hours[lower-alpha 2] XR
capsule
Concerta (US/CA);
Concerta XL (UK)
methylphenidate ER (US/CA);[lower-alpha 3]
methylphenidate ER‑C (CA)[lower-alpha 4]
12 hours[152] OROS
tablet
Quillivant XR (US) Currently unavailable 12 hours[152] oral
suspension
Daytrana (US) Currently unavailable 11 hours[153] transdermal
patch
Metadate CD (US);
Equasym XL (UK)
methylphenidate ER (US)[lower-alpha 5] 8–10 hours[152] CD/XL
capsule
QuilliChew ER (US) Currently unavailable 8 hours[154] chewable
tablet
Ritalin LA (US);
Medikinet XL (UK)
methylphenidate ER (US)[lower-alpha 6] 8 hours[152] ER
capsule
Ritalin SR (US/CA/UK);
Rubifen SR (NZ)
Metadate ER (US);[lower-alpha 7]
Methylin ER (US);[lower-alpha 8]
methylphenidate SR (US/CA)[lower-alpha 9]
5–8 hours[152] CR
tablet
  1. [146][147][148][149]
  2. [150][151]
  3. US generic manufactured by Actavis; CA generics manufactured by Pharmascience and Apotex.
  4. Manufactured by Teva.
  5. Manufactured by Impax, Mallinckrodt, and Teva.
  6. Manufactured by Barr and Mayne.
  7. Manufactured by UCB.
  8. Manufactured by Mallinckrodt.
  9. US generics manufactured by County Line Pharmaceuticals and Abhai; CA generic manufactured by Apotex.

Concerta tablets are marked with the letters "ALZA" and followed by: "18", "27", "36", or "54", relating to the mg dosage strength. Approximately 22% of the dose is immediate release,[155] and the remaining 78% of the dose is released over 10–12 hours post ingestion, with an initial increase over the first 6 to 7 hours, and subsequent decline in released drug.[156]

Ritalin LA capsules are marked with the letters "NVR" (abbrev.: Novartis) and followed by: "R20", "R30", or "R40", depending on the (mg) dosage strength. Ritalin LA[57] provides two standard doses – half the total dose being released immediately and the other half released four hours later. In total, each capsule is effective for about eight hours.

Metadate CD capsules contain two types of beads; 30% are immediate release, and the other 70% are evenly sustained release.[157]

Quillivant XR is an extended-release oral suspension (after reconstitution with water): 25 mg per 5 mL (5 mg per mL). It was designed and is patented and made by Pfizer. The medication comes in various sizes from 60ml to 180ml (after reconstitution). Each bottle is shipped with the medication in powder form containing roughly 20% instant-release and 80% extended-release methylphenidate, to which water must be added by the pharmacist in an amount corresponding with the total intended volume of the bottle. The bottle must be shaken vigorously for ten seconds prior to administration via included oral syringe to ensure proper ratio.[158]

Skin patch[edit | edit source]

A methylphenidate skin patch is sold under the brand name Daytrana in the United States. It was developed and marketed by Noven Pharmaceuticals and approved in the US in 2006. It is also referred to as methylphenidate transdermal system (MTS). It is approved as a once daily treatment in children — ages 6 to 17 — with ADHD. It is mainly prescribed as a second-line treatment when oral forms are not well tolerated or if people have difficulty with compliance. Noven's original FDA submission indicated that it should be used for 12 hours. When the FDA rejected the submission they requested evidence that a shorter time period was safe and effective, Noven provided such evidence and it was approved for a 9-hour period.[159]

Orally administered methylphenidate is subject to first-pass metabolism, by which the levo-isomer is extensively metabolized. By circumventing this first-pass metabolism, the relative concentrations of l-threo-methylphenidate are much higher with transdermal administration (50-60% of those of dexmethylphenidate instead of about 14-27%).[160]

A 39 nanograms/mL peak serum concentration of methylphenidate be has been found to occur between 7.5 and 10.5 hours after administration.[161] However the onset to peak effect is 2 hours and the clinical effects remain up to 2 hours after patch has been removed. The absorption is increased when the transdermal patch is applied onto inflamed skin or skin that has been exposed to heat. The absorption lasts for approximately 9 hours after application (onto normal, unexposed to heat and uninflamed skin). 90% of the medication is excreted in the urine as metabolites and unchanged drug.[161]

Cost[edit | edit source]

Ritalin 10 mg tablet

Generic immediate-release methylphenidate is relatively inexpensive. The average wholesale cost is about US$0.15 per defined daily dose (retail pharmacies normally charge more).[162] However, the most expensive brand-name extended-release tablets may retail for as much as $12.40 per defined daily dose.[163]

There are two main reasons for this price difference:

  • Generic formulations are less expensive than brand-name formulations.
  • Immediate-release tablets are less expensive than 8-hour extended-release tablets, which are much less expensive than 12-hour extended-release tablets.

Legal status[edit | edit source]

Legal warning printed on Ritalin packaging
  • Internationally, methylphenidate is a Schedule II drug under the Convention on Psychotropic Substances.[164]
  • In the United States, methylphenidate is classified as a Schedule II controlled substance, the designation used for substances that have a recognized medical value but present a high potential for abuse.
  • In the United Kingdom, methylphenidate is a controlled 'Class B' substance. Possession without prescription carries a sentence up to 5 years or an unlimited fine, or both; supplying methylphenidate is 14 years or an unlimited fine, or both.[165]
  • In Canada, methylphenidate is listed in Schedule III of the Controlled Drugs and Substances Act and is illegal to possess without a prescription, with unlawful possession punishable by up to three years imprisonment, or (via summary conviction) by up to one year imprisonment and/or fines of up to two thousand dollars. Unlawful possession for the purpose of trafficking is punishable by up to ten years imprisonment, or (via summary conviction) by up to eighteen months imprisonment.[166]
  • In New Zealand, methylphenidate is a 'class B2 controlled substance'. Unlawful possession is punishable by six-month prison sentence and distribution by a 14-year sentence.
  • In Australia, methylphenidate is a 'Schedule 8' controlled substance.[167] Such drugs must be kept in a lockable safe until dispensed and possession without prescription is punishable by fines and imprisonment.
  • In Russia, methylphenidate is a List I controlled psychotropic substance without recognized medical value. The Constant Committee for Drug Control of the Russian Ministry of Health has put methylphenidate and its derivatives on the National List of Narcotics, Psychotropic Substances and Their Precursors and the Government banned methylphenidate for any use on 25 October 2014.[168]
  • In Sweden, methylphenidate is a List II controlled substance with recognized medical value. Possession without a prescription is punishable by up to three years in prison.[169]
  • In France, methylphenidate is covered by the "narcotics" schedule, prescription and distribution conditions are restricted with hospital-only prescription for the initial treatment and yearly consultations.[170]
  • In India, methylphenidate is a schedule X drug and is controlled by the Drugs and Cosmetics Rule, 1945. It is dispensed only by physician's prescription.[171] Legally, 2 grams of methylphenidate are classified as a small quantity, and 50 grams as a large or commercial quantity.[172]
  • In Hong Kong, methylphenidate is controlled under the schedule 1 of the Dangerous Drugs Ordinance (Cap. 134).[173]

Controversy[edit | edit source]

Methylphenidate has been the subject of controversy in relation to its use in the treatment of ADHD. The prescription of psychostimulant medication to children to reduce ADHD symptoms has been a major point of criticism.[174][need quotation to verify] The contention that methylphenidate acts as a gateway drug has been discredited by multiple sources,[175] according to which abuse is statistically very low and "stimulant therapy in childhood does not increase the risk for subsequent drug and alcohol abuse disorders later in life".[176] A study found that ADHD medication was not associated with increased risk of cigarette use, and in fact stimulant treatments such as Ritalin seemed to lower this risk.[177]

Among countries with the highest rates of use of methylphenidate medication is Iceland,[178] where research shows that the drug was the most commonly abused substance among intravenous substance abusers.[179] The study involved 108 intravenous substance abusers and 88% of them had injected methylphenidate within the last 30 days and for 63% of them, methylphenidate was the most preferred substance.

Treatment of ADHD by way of methylphenidate has led to legal actions, including malpractice suits regarding informed consent, inadequate information on side effects, misdiagnosis, and coercive use of medications by school systems.[180]

Research[edit | edit source]

Methylphenidate may have benefit as a treatment of apathy in patients with Alzheimer's disease.[181] It may be useful in losing weight.[182]

Methylphenidate may provide possible protection from methamphetamine induced dopamine neuron damage and possible protection from Parkinson's disease.[117]

References[edit | edit source]

  1. 1.00 1.01 1.02 1.03 1.04 1.05 1.06 1.07 1.08 1.09 1.10 1.11 1.12 "Methylphenidate Hydrochloride Monograph for Professionals". Drugs.com. AHFS. Archived from the original on 19 December 2018. Retrieved 19 December 2018.
  2. Bonewit-West, Kathy; Hunt, Sue A.; Applegate, Edith (2012). Today's Medical Assistant: Clinical and Administrative Procedures. Elsevier Health Sciences. p. 571. ISBN 9781455701506. Archived from the original on 28 July 2020. Retrieved 5 August 2020.
  3. 3.0 3.1 "WHOCC - ATC/DDD Index". www.whocc.no. Archived from the original on 1 June 2020. Retrieved 9 September 2020.
  4. 4.0 4.1 4.2 Kimko HC, Cross JT, Abernethy DR (December 1999). "Pharmacokinetics and clinical effectiveness of methylphenidate". Clinical Pharmacokinetics. 37 (6): 457–70. doi:10.2165/00003088-199937060-00002. PMID 10628897.
  5. 5.0 5.1 "Chemical and Physical Properties". Methylphenidate. Pubchem Compound. National Center for Biotechnology Information. Archived from the original on 6 January 2014. Retrieved 5 August 2020.
  6. Arnsten AF, Li BM (2005). "Neurobiology of Executive Functions: Catecholamine Influences on Prefrontal Cortical Functions". Biological Psychiatry. 57 (11): 1377–84. doi:10.1016/j.biopsych.2004.08.019. PMID 15950011.
  7. Stahl, Stephen M. (11 April 2013). Stahl's Essential Psychopharmacology: Neuroscientific Basis and Practical Applications (4th ed.). Cambridge University Press. ISBN 978-1107686465.
  8. Preedy, Victor R. (2016). Neuropathology of Drug Addictions and Substance Misuse Volume 3: General Processes and Mechanisms, Prescription Medications, Caffeine and Areca, Polydrug Misuse, Emerging Addictions and Non-Drug Addictions. Academic Press. p. 651. ISBN 9780128006771. Archived from the original on 29 August 2021. Retrieved 5 August 2020.
  9. 9.0 9.1 Lange KW, Reichl S, Lange KM, Tucha L, Tucha O (2010). "The history of attention deficit hyperactivity disorder". ADHD Attention Deficit and Hyperactivity Disorders. 2 (4): 241–55. doi:10.1007/s12402-010-0045-8. PMC 3000907. PMID 21258430.
  10. March 2015, The Pharmaceutical Journal6. "Narcotics monitoring board reports 66% increase in global consumption of methylphenidate". Pharmaceutical Journal. Archived from the original on 19 December 2018. Retrieved 19 December 2018.
  11. "The Top 300 of 2020". ClinCalc. Archived from the original on 12 February 2021. Retrieved 11 April 2020.
  12. "Methylphenidate - Drug Usage Statistics". ClinCalc. Archived from the original on 12 April 2020. Retrieved 11 April 2020.
  13. "NADAC as of 2018-12-19". Centers for Medicare and Medicaid Services. Archived from the original on 19 December 2018. Retrieved 19 December 2018.
  14. "Methylphenidate". www.drugbank.ca. Archived from the original on 31 January 2019. Retrieved 30 January 2019.
  15. Fone KC, Nutt DJ (2005). "Stimulants: use and abuse in the treatment of ADD". Current Opinion in Pharmacology. 5 (1): 87–93. doi:10.1016/j.coph.2004.10.001. PMID 15661631.
  16. Capp PK, Pearl PL, Conlon C (2005). "Methylphenidate HCl: therapy for attention deficit hyperactivity disorder". Expert Rev Neurother. 5 (3): 325–31. doi:10.1586/14737175.5.3.325. PMID 15938665.
  17. Greenfield B, Hechman L (2005). "Treatment of attention deficit hyperactivity disorder in adults". Expert Rev Neurother. 5 (1): 107–21. doi:10.1586/14737175.5.1.107. PMID 15853481.
  18. Stevenson RD, Wolraich ML (1989). "Stimulant medication therapy in the treatment of children with attention deficit hyperactivity disorder". Pediatr. Clin. North Am. 36 (5): 1183–97. doi:10.1016/S0031-3955(16)36764-5. PMID 2677938.
  19. 19.0 19.1 Management (1 November 2011). "ADHD: Clinical Practice Guideline for the Diagnosis, Evaluation, and Treatment of Attention-Deficit/Hyperactivity Disorder in Children and Adolescents". Pediatrics. 128 (5): 1007–1022. doi:10.1542/peds.2011-2654. ISSN 0031-4005. PMC 4500647. PMID 22003063. Archived from the original on 16 May 2019. Retrieved 17 May 2019.
  20. Gilmore A, Milne R (2001). "Methylphenidate in children with hyperactivity: review and cost-utility analysis". Pharmacoepidemiol Drug Saf. 10 (2): 85–94. doi:10.1002/pds.564. PMID 11499858.
  21. Mott TF, Leach L, Johnson L (2004). "Clinical inquiries. Is methylphenidate useful for treating adolescents with ADHD?". The Journal of Family Practice. 53 (8): 659–61. PMID 15298843. Archived from the original on 13 July 2011. Retrieved 30 April 2009.
  22. 22.0 22.1 22.2 Millichap JG (2010). "Chapter 3: Medications for ADHD". In Millichap, JG (ed.). Attention Deficit Hyperactivity Disorder Handbook: A Physician's Guide to ADHD (2nd ed.). New York: Springer. pp. 111–113. ISBN 9781441913968.
  23. Huang YS, Tsai MH (July 2011). "Long-term outcomes with medications for attention-deficit hyperactivity disorder: current status of knowledge". CNS Drugs. 25 (7): 539–554. doi:10.2165/11589380-000000000-00000. PMID 21699268.
  24. Millichap JG (2010). "Chapter 3: Medications for ADHD". In Millichap, JG (ed.). Attention Deficit Hyperactivity Disorder Handbook: A Physician's Guide to ADHD (2nd ed.). New York: Springer. pp. 121–123. ISBN 9781441913968.
  25. Storebø OJ, Pedersen N, Ramstad E, Kielsholm ML, Nielsen SS, Krogh HB, et al. (2018). "Methylphenidate for attention deficit hyperactivity disorder (ADHD) in children and adolescents – assessment of adverse events in non-randomised studies". Cochrane Database Syst Rev (Systematic Review). 5: CD012069. doi:10.1002/14651858.CD012069.pub2. PMC 6494554. PMID 29744873. Our findings suggest that methylphenidate may be associated with a number of serious adverse events as well as a large number of non-serious adverse events in children. Concerning adverse events associated with the treatment, our systematic review of randomised clinical trials (RCTs) demonstrated no increase in serious adverse events, but a high proportion of participants suffered a range of non‐serious adverse events.
  26. Storebø OJ, Ramstad E, Krogh HB, Nilausen TD, Skoog M, Holmskov M, Rosendal S, Groth C, Magnusson FL, Moreira-Maia CR, Gillies D, Buch Rasmussen K, Gauci D, Zwi M, Kirubakaran R, Forsbøl B, Simonsen E, Gluud C (November 2015). "Methylphenidate for children and adolescents with attention deficit hyperactivity disorder (ADHD)" (PDF). Cochrane Database Syst Rev. 11 (11): CD009885. doi:10.1002/14651858.CD009885.pub2. PMID 26599576. Archived (PDF) from the original on 28 February 2021. Retrieved 5 August 2020. the low quality of the underpinning evidence means that we cannot be certain of the magnitude of the effects.
  27. "eEML - Electronic Essential Medicines List". list.essentialmeds.org. Archived from the original on 26 March 2020. Retrieved 26 March 2020.
  28. 28.0 28.1 28.2 "Stimulants for Attention Deficit Hyperactivity Disorder". WebMD. Healthwise. 12 April 2010. Archived from the original on 13 November 2013. Retrieved 12 November 2013.
  29. Greenhill LL, Pliszka S, Dulcan MK, Bernet W, Arnold V, Beitchman J, Benson RS, Bukstein O, Kinlan J, McClellan J, Rue D, Shaw JA, Stock S (February 2002). "Practice parameter for the use of stimulant medications in the treatment of children, adolescents, and adults". J. Am. Acad. Child Adolesc. Psychiatry. 41 (2 Suppl): 26S–49S. doi:10.1097/00004583-200202001-00003. PMID 11833633.
  30. Faraone SV, Wilens TE (2007). "Effect of stimulant medications for attention-deficit/hyperactivity disorder on later substance use and the potential for stimulant misuse, abuse, and diversion". J Clin Psychiatry. 68 Suppl 11 (11): 15–22. doi:10.4088/jcp.1107e28. PMID 18307377.
  31. Wilens TE, Faraone SV, Biederman J, Gunawardene S (2003). "Does Stimulant Therapy of Attention-Deficit/Hyperactivity Disorder Beget Later Substance Abuse? A Meta-analytic Review of the Literature". Pediatrics. 111 (1): 179–85. CiteSeerX 10.1.1.507.874. doi:10.1542/peds.111.1.179. PMID 12509574.
  32. 32.0 32.1 32.2 32.3 32.4 32.5 Abelman DD (October 2017). "Mitigating risks of students use of study drugs through understanding motivations for use and applying harm reduction theory: a literature review". Harm Reduction Journal. 14 (1): 68. doi:10.1186/s12954-017-0194-6. PMC 5639593. PMID 28985738.
  33. Vitiello B (October 2001). "Psychopharmacology for young children: clinical needs and research opportunities". Pediatrics. 108 (4): 983–9. doi:10.1542/peds.108.4.983. PMID 11581454. Archived from the original on 28 August 2021. Retrieved 5 August 2020.
  34. Hermens DF, Rowe DL, Gordon E, Williams LM (2006). "Integrative neuroscience approach to predict ADHD stimulant response". Expert Review of Neurotherapeutics. 6 (5): 753–63. doi:10.1586/14737175.6.5.753. PMID 16734523.
  35. Neinstein, Lawrence (2009). Handbook of adolescent health care. Philadelphia: Wolters Kluwer Health/Lippincott Williams & Wilkins. ISBN 978-0-7817-9020-8. OCLC 226304727.
  36. Fry JM (February 1998). "Treatment modalities for narcolepsy". Neurology. 50 (2 Suppl 1): S43-8. doi:10.1212/WNL.50.2_Suppl_1.S43. PMID 9484423.
  37. Mitler MM (December 1994). "Evaluation of treatment with stimulants in narcolepsy". Sleep. 17 (8 Suppl): S103-6. doi:10.1093/sleep/17.suppl_8.S103. PMID 7701190.
  38. Dell'Osso B, Dobrea C, Cremaschi L, Arici C, Altamura AC (December 2014). "Wake-promoting pharmacotherapy for psychiatric disorders". Curr Psychiatry Rep. 16 (12): 524. doi:10.1007/s11920-014-0524-2. PMID 25312027.
  39. Leonard BE, McCartan D, White J, King DJ (2004). "Methylphenidate: a review of its neuropharmacological, neuropsychological and adverse clinical effects". Hum Psychopharmacol. 19 (3): 151–80. doi:10.1002/hup.579. PMID 15079851.
  40. Kraus MF, Burch EA (1992). "Methylphenidate hydrochloride as an antidepressant: controversy, case studies, and review". South. Med. J. 85 (10): 985–91. doi:10.1097/00007611-199210000-00012. PMID 1411740.
  41. Satel SL, Nelson JC (1989). "Stimulants in the treatment of depression: a critical overview". J Clin Psychiatry. 50 (7): 241–9. PMID 2567730.
  42. Rozans M, Dreisbach A, Lertora JJ, Kahn MJ (2002). "Palliative uses of methylphenidate in patients with cancer: a review". J. Clin. Oncol. 20 (1): 335–9. doi:10.1200/JCO.20.1.335. PMID 11773187.
  43. 43.0 43.1 Spencer RC, Devilbiss DM, Berridge CW (June 2015). "The Cognition-Enhancing Effects of Psychostimulants Involve Direct Action in the Prefrontal Cortex". Biol. Psychiatry. 77 (11): 940–950. doi:10.1016/j.biopsych.2014.09.013. PMC 4377121. PMID 25499957. The procognitive actions of psychostimulants are only associated with low doses. Surprisingly, despite nearly 80 years of clinical use, the neurobiology of the procognitive actions of psychostimulants has only recently been systematically investigated. Findings from this research unambiguously demonstrate that the cognition-enhancing effects of psychostimulants involve the preferential elevation of catecholamines in the PFC and the subsequent activation of norepinephrine α2 and dopamine D1 receptors. ... This differential modulation of PFC-dependent processes across dose appears to be associated with the differential involvement of noradrenergic α2 versus α1 receptors. Collectively, this evidence indicates that at low, clinically relevant doses, psychostimulants are devoid of the behavioral and neurochemical actions that define this class of drugs and instead act largely as cognitive enhancers (improving PFC-dependent function). This information has potentially important clinical implications as well as relevance for public health policy regarding the widespread clinical use of psychostimulants and for the development of novel pharmacologic treatments for attention-deficit/hyperactivity disorder and other conditions associated with PFC dysregulation.
  44. Ilieva IP, Hook CJ, Farah MJ (January 2015). "Prescription Stimulants' Effects on Healthy Inhibitory Control, Working Memory, and Episodic Memory: A Meta-analysis". J. Cogn. Neurosci. 27 (6): 1069–1089. doi:10.1162/jocn_a_00776. PMID 25591060. Archived from the original on 19 September 2018. Retrieved 14 November 2018. Specifically, in a set of experiments limited to high-quality designs, we found significant enhancement of several cognitive abilities. ... The results of this meta-analysis ... do confirm the reality of cognitive enhancing effects for normal healthy adults in general, while also indicating that these effects are modest in size.
  45. 45.0 45.1 45.2 Malenka RC, Nestler EJ, Hyman SE (2009). "Chapter 13: Higher Cognitive Function and Behavioral Control". In Sydor A, Brown RY (eds.). Molecular Neuropharmacology: A Foundation for Clinical Neuroscience (2nd ed.). New York: McGraw-Hill Medical. p. 318. ISBN 9780071481274. Therapeutic (relatively low) doses of psychostimulants, such as methylphenidate and amphetamine, improve performance on working memory tasks both in normal subjects and those with ADHD. Positron emission tomography (PET) demonstrates that methylphenidate decreases regional cerebral blood flow in the doroslateral prefrontal cortex and posterior parietal cortex while improving performance of a spatial working memory task. This suggests that cortical networks that normally process spatial working memory become more efficient in response to the drug. ... [It] is now believed that dopamine and norepinephrine, but not serotonin, produce the beneficial effects of stimulants on working memory. At abused (relatively high) doses, stimulants can interfere with working memory and cognitive control ... stimulants act not only on working memory function, but also on general levels of arousal and, within the nucleus accumbens, improve the saliency of tasks. Thus, stimulants improve performance on effortful but tedious tasks ... through indirect stimulation of dopamine and norepinephrine receptors.
  46. 46.0 46.1 46.2 Wood S, Sage JR, Shuman T, Anagnostaras SG (January 2014). "Psychostimulants and cognition: a continuum of behavioral and cognitive activation". Pharmacol. Rev. 66 (1): 193–221. doi:10.1124/pr.112.007054. PMC 3880463. PMID 24344115.
  47. Agay N, Yechiam E, Carmel Z, Levkovitz Y (2010). "Non-specific effects of Methylphenidate (Ritalin) on cognitive ability and decision-making of ADHD and healthy adult". Psychopharmacology. 210 (4): 511–519. doi:10.1007/s00213-010-1853-4. PMID 20424828.
  48. Twohey M (26 March 2006). "Pills become an addictive study aid". JS Online. Archived from the original on 15 August 2007. Retrieved 2 December 2007.
  49. Teter CJ, McCabe SE, LaGrange K, Cranford JA, Boyd CJ (October 2006). "Illicit use of specific prescription stimulants among college students: prevalence, motives, and routes of administration". Pharmacotherapy. 26 (10): 1501–1510. doi:10.1592/phco.26.10.1501. PMC 1794223. PMID 16999660.
  50. Roelands B, de Koning J, Foster C, Hettinga F, Meeusen R (May 2013). "Neurophysiological determinants of theoretical concepts and mechanisms involved in pacing". Sports Med. 43 (5): 301–311. doi:10.1007/s40279-013-0030-4. PMID 23456493.
  51. 51.0 51.1 51.2 Noven Pharmaceuticals, Inc. (17 April 2015). "Daytrana Prescribing Information" (PDF). United States Food and Drug Administration. pp. 1–33. Archived (PDF) from the original on 23 June 2015. Retrieved 23 June 2015.
  52. "DAYTRANA" (PDF). United States Food and Drug Administration. Noven Pharmaceuticals, Inc. October 2013. Archived (PDF) from the original on 14 July 2014. Retrieved 13 June 2014.
  53. "Methylphenidate: Use During Pregnancy and Breastfeeding". Drugs.com. Archived from the original on 2 January 2018.
  54. Humphreys C, Garcia-Bournissen F, Ito S, Koren G (2007). "Exposure to attention deficit hyperactivity disorder medications during pregnancy". Canadian Family Physician. 53 (7): 1153–5. PMC 1949295. PMID 17872810.
  55. Ornoy, Asher (6 February 2018). "Pharmacological Treatment of Attention Deficit Hyperactivity Disorder During Pregnancy and Lactation". Pharmaceutical Research. 35 (3): 46. doi:10.1007/s11095-017-2323-z. PMID 29411149.
  56. Nutt D, King LA, Saulsbury W, Blakemore C (March 2007). "Development of a rational scale to assess the harm of drugs of potential misuse". Lancet. 369 (9566): 1047–53. doi:10.1016/S0140-6736(07)60464-4. PMID 17382831.
  57. 57.0 57.1 "Ritalin LA® (methylphenidate hydrochloride) extended-release capsules" (PDF). Novartis. Archived from the original (PDF) on 20 July 2011.
  58. Jaanus SD (1992). "Ocular side effects of selected systemic drugs". Optometry Clinics. 2 (4): 73–96. PMID 1363080.
  59. 59.0 59.1 Cortese S, Holtmann M, Banaschewski T, Buitelaar J, Coghill D, Danckaerts M, et al. (March 2013). "Practitioner review: current best practice in the management of adverse events during treatment with ADHD medications in children and adolescents". Journal of Child Psychology and Psychiatry, and Allied Disciplines. 54 (3): 227–46. doi:10.1111/jcpp.12036. PMID 23294014.
  60. Poulton A (August 2005). "Growth on stimulant medication; clarifying the confusion: a review". Archives of Disease in Childhood. 90 (8): 801–6. doi:10.1136/adc.2004.056952. PMC 1720538. PMID 16040876.
  61. Hinshaw SP, Arnold LE (January 2015). "ADHD, Multimodal Treatment, and Longitudinal Outcome: Evidence, Paradox, and Challenge". Wiley Interdisciplinary Reviews. Cognitive Science. 6 (1): 39–52. doi:10.1002/wcs.1324. PMC 4280855. PMID 25558298.
  62. Findling RL, Dinh S (March 2014). "Transdermal therapy for attention-deficit hyperactivity disorder with the methylphenidate patch (MTS)". CNS Drugs. 28 (3): 217–28. doi:10.1007/s40263-014-0141-y. PMC 3933749. PMID 24532028.
  63. Kraemer M, Uekermann J, Wiltfang J, Kis B (July 2010). "Methylphenidate-induced psychosis in adult attention-deficit/hyperactivity disorder: report of 3 new cases and review of the literature". Clinical Neuropharmacology. 33 (4): 204–6. doi:10.1097/WNF.0b013e3181e29174. PMID 20571380.
  64. Wingo AP, Ghaemi SN (2008). "Frequency of stimulant treatment and of stimulant-associated mania/hypomania in bipolar disorder patients". Psychopharmacology Bulletin. 41 (4): 37–47. PMID 19015628.
  65. "Methylphenidate ADHD Medications: Drug Safety Communication – Risk of Long-lasting Erections". U.S. Food and Drug Administration. 17 December 2013. Archived from the original on 17 December 2013. Retrieved 17 December 2013.
  66. "FDA Drug Safety Communication: Safety Review Update of Medications used to treat Attention-Deficit/Hyperactivity Disorder (ADHD) in children and young adults". United States Food and Drug Administration. 20 December 2011. Archived from the original on 30 October 2013. Retrieved 4 November 2013.
    Cooper WO, Habel LA, Sox CM, Chan KA, Arbogast PG, Cheetham TC, Murray KT, Quinn VP, Stein CM, Callahan ST, Fireman BH, Fish FA, Kirshner HS, O'Duffy A, Connell FA, Ray WA (November 2011). "ADHD drugs and serious cardiovascular events in children and young adults". N. Engl. J. Med. 365 (20): 1896–1904. doi:10.1056/NEJMoa1110212. PMC 4943074. PMID 22043968.
    "FDA Drug Safety Communication: Safety Review Update of Medications used to treat Attention-Deficit/Hyperactivity Disorder (ADHD) in adults". United States Food and Drug Administration. 15 December 2011. Archived from the original on 30 October 2013. Retrieved 4 November 2013.
    Habel LA, Cooper WO, Sox CM, Chan KA, Fireman BH, Arbogast PG, Cheetham TC, Quinn VP, Dublin S, Boudreau DM, Andrade SE, Pawloski PA, Raebel MA, Smith DH, Achacoso N, Uratsu C, Go AS, Sidney S, Nguyen-Huynh MN, Ray WA, Selby JV (December 2011). "ADHD medications and risk of serious cardiovascular events in young and middle-aged adults". JAMA. 306 (24): 2673–2683. doi:10.1001/jama.2011.1830. PMC 3350308. PMID 22161946.
  67. Gordon N (1999). "Attention deficit hyperactivity disorder: possible causes and treatment". International Journal of Clinical Practice. 53 (7): 524–8. PMID 10692738.
  68. Storebø OJ, Pedersen N, Ramstad E, Kielsholm ML, Nielsen SS, Krogh HB, et al. (May 2018). "Methylphenidate for attention deficit hyperactivity disorder (ADHD) in children and adolescents - assessment of adverse events in non-randomised studies". The Cochrane Database of Systematic Reviews. 5: CD012069. doi:10.1002/14651858.CD012069.pub2. PMC 6494554. PMID 29744873.
  69. 69.0 69.1 Heedes G, Ailakis J. "Methylphenidate hydrochloride (PIM 344)". INCHEM. International Programme on Chemical Safety. Archived from the original on 23 June 2015. Retrieved 23 June 2015.
  70. 70.0 70.1 70.2 Spiller HA, Hays HL, Aleguas A (June 2013). "Overdose of drugs for attention-deficit hyperactivity disorder: clinical presentation, mechanisms of toxicity, and management". CNS Drugs. 27 (7): 531–543. doi:10.1007/s40263-013-0084-8. PMID 23757186. The management of amphetamine, dextroamphetamine, and methylphenidate overdose is largely supportive, with a focus on interruption of the sympathomimetic syndrome with judicious use of benzodiazepines. In cases where agitation, delirium, and movement disorders are unresponsive to benzodiazepines, second-line therapies include antipsychotics such as ziprasidone or haloperidol, central alpha-adrenoreceptor agonists such as dexmedetomidine, or propofol. ... However, fatalities are rare with appropriate care
  71. Bruggisser M, Bodmer M, Liechti ME (2011). "Severe toxicity due to injected but not oral or nasal abuse of methylphenidate tablets". Swiss Med Wkly. 141: w13267. doi:10.4414/smw.2011.13267. PMID 21984207.
  72. Nestler EJ, Barrot M, Self DW (September 2001). "DeltaFosB: a sustained molecular switch for addiction". Proceedings of the National Academy of Sciences of the United States of America. 98 (20): 11042–6. Bibcode:2001PNAS...9811042N. doi:10.1073/pnas.191352698. PMC 58680. PMID 11572966. Although the ΔFosB signal is relatively long-lived, it is not permanent. ΔFosB degrades gradually and can no longer be detected in brain after 1–2 months of drug withdrawal ... Indeed, ΔFosB is the longest-lived adaptation known to occur in adult brain, not only in response to drugs of abuse, but to any other perturbation (that doesn't involve lesions) as well.
  73. Nestler EJ (December 2012). "Transcriptional mechanisms of drug addiction". Clinical Psychopharmacology and Neuroscience. 10 (3): 136–43. doi:10.9758/cpn.2012.10.3.136. PMC 3569166. PMID 23430970. The 35–37 kD ΔFosB isoforms accumulate with chronic drug exposure due to their extraordinarily long half-lives. ... As a result of its stability, the ΔFosB protein persists in neurons for at least several weeks after cessation of drug exposure. ... ΔFosB overexpression in nucleus accumbens induces NFκB
  74. Morton WA, Stockton GG (2000). "Methylphenidate Abuse and Psychiatric Side Effects". Prim Care Companion J Clin Psychiatry. 2 (5): 159–164. doi:10.4088/PCC.v02n0502. PMC 181133. PMID 15014637.
  75. 75.0 75.1 75.2 75.3 75.4 Malenka RC, Nestler EJ, Hyman SE (2009). "Chapter 15: Reinforcement and Addictive Disorders". In Sydor A, Brown RY (eds.). Molecular Neuropharmacology: A Foundation for Clinical Neuroscience (2nd ed.). New York: McGraw-Hill Medical. p. 368. ISBN 9780071481274. Cocaine, [amphetamine], and methamphetamine are the major psychostimulants of abuse. The related drug methylphenidate is also abused, although it is far less potent. These drugs elicit similar initial subjective effects ; differences generally reflect the route of administration and other pharmacokinetic factors. Such agents also have important therapeutic uses; cocaine, for example, is used as a local anesthetic (Chapter 2), and amphetamines and methylphenidate are used in low doses to treat attention deficit hyperactivity disorder and in higher doses to treat narcolepsy (Chapter 12). Despite their clinical uses, these drugs are strongly reinforcing, and their long-term use at high doses is linked with potential addiction, especially when they are rapidly administered or when high-potency forms are given.
  76. 76.0 76.1 Steiner H, Van Waes V (January 2013). "Addiction-related gene regulation: risks of exposure to cognitive enhancers vs. other psychostimulants". Prog. Neurobiol. 100: 60–80. doi:10.1016/j.pneurobio.2012.10.001. PMC 3525776. PMID 23085425.
  77. Auger RR, Goodman SH, Silber MH, Krahn LE, Pankratz VS, Slocumb NL (2005). "Risks of high-dose stimulants in the treatment of disorders of excessive somnolence: a case-control study". Sleep. 28 (6): 667–72. doi:10.1093/sleep/28.6.667. PMID 16477952.
  78. 78.0 78.1 78.2 78.3 78.4 78.5 Kim Y, Teylan MA, Baron M, Sands A, Nairn AC, Greengard P (2009). "Methylphenidate-induced dendritic spine formation and DeltaFosB expression in nucleus accumbens". Proc. Natl. Acad. Sci. U.S.A. 106 (8): 2915–20. Bibcode:2009PNAS..106.2915K. doi:10.1073/pnas.0813179106. PMC 2650365. PMID 19202072. Despite decades of clinical use of methylphenidate for ADHD, concerns have been raised that long-term treatment of children with this medication may result in subsequent drug abuse and addiction. However, meta analysis of available data suggests that treatment of ADHD with stimulant drugs may have a significant protective effect, reducing the risk for addictive substance use (36, 37). Studies with juvenile rats have also indicated that repeated exposure to methylphenidate does not necessarily lead to enhanced drug-seeking behavior in adulthood (38). However, the recent increase of methylphenidate use as a cognitive enhancer by the general public has again raised concerns because of its potential for abuse and addiction (3, 6–10). Thus, although oral administration of clinical doses of methylphenidate is not associated with euphoria or with abuse problems, nontherapeutic use of high doses or i.v. administration may lead to addiction (39, 40).
  79. Elkashef A, Vocci F, Hanson G, White J, Wickes W, Tiihonen J (2008). "Pharmacotherapy of methamphetamine addiction: an update". Substance Abuse. 29 (3): 31–49. doi:10.1080/08897070802218554. PMC 2597382. PMID 19042205.
  80. Grabowski J, Roache JD, Schmitz JM, Rhoades H, Creson D, Korszun A (December 1997). "Replacement medication for cocaine dependence: methylphenidate". Journal of Clinical Psychopharmacology. 17 (6): 485–8. doi:10.1097/00004714-199712000-00008. PMID 9408812.
  81. Gorelick DA, Gardner EL, Xi ZX (2004). "Agents in development for the management of cocaine abuse". Drugs. 64 (14): 1547–73. doi:10.2165/00003495-200464140-00004. PMID 15233592. Archived from the original on 1 July 2019. Retrieved 1 July 2019.
  82. Karila L, Gorelick D, Weinstein A, Noble F, Benyamina A, Coscas S, et al. (May 2008). "New treatments for cocaine dependence: a focused review". The International Journal of Neuropsychopharmacology. 11 (3): 425–38. doi:10.1017/S1461145707008097. PMID 17927843.
  83. "NIDA InfoFacts: Understanding Drug Abuse and Addiction" (PDF). 2008. Archived from the original (PDF) on 15 December 2010.
  84. Shearer J (May 2008). "The principles of agonist pharmacotherapy for psychostimulant dependence". Drug and Alcohol Review. 27 (3): 301–8. doi:10.1080/09595230801927372. PMID 18368612.
  85. 85.0 85.1 85.2 Nestler EJ (December 2013). "Cellular basis of memory for addiction". Dialogues in Clinical Neuroscience. 15 (4): 431–43. PMC 3898681. PMID 24459410. Despite the importance of numerous psychosocial factors, at its core, drug addiction involves a biological process: the ability of repeated exposure to a drug of abuse to induce changes in a vulnerable brain that drive the compulsive seeking and taking of drugs, and loss of control over drug use, that define a state of addiction. ... A large body of literature has demonstrated that such ΔFosB induction in D1-type NAc neurons increases an animal's sensitivity to drug as well as natural rewards and promotes drug self-administration, presumably through a process of positive reinforcement ... Another ΔFosB target is cFos: as ΔFosB accumulates with repeated drug exposure it represses c-Fos and contributes to the molecular switch whereby ΔFosB is selectively induced in the chronic drug-treated state.41. ... Moreover, there is increasing evidence that, despite a range of genetic risks for addiction across the population, exposure to sufficiently high doses of a drug for long periods of time can transform someone who has relatively lower genetic loading into an addict.4
  86. Ruffle JK (November 2014). "Molecular neurobiology of addiction: what's all the (Δ)FosB about?". The American Journal of Drug and Alcohol Abuse. 40 (6): 428–37. doi:10.3109/00952990.2014.933840. PMID 25083822.
    The strong correlation between chronic drug exposure and ΔFosB provides novel opportunities for targeted therapies in addiction (118), and suggests methods to analyze their efficacy (119). Over the past two decades, research has progressed from identifying ΔFosB induction to investigating its subsequent action (38). It is likely that ΔFosB research will now progress into a new era – the use of ΔFosB as a biomarker. ...
    Conclusions
         ΔFosB is an essential transcription factor implicated in the molecular and behavioral pathways of addiction following repeated drug exposure. The formation of ΔFosB in multiple brain regions, and the molecular pathway leading to the formation of AP-1 complexes is well understood. The establishment of a functional purpose for ΔFosB has allowed further determination as to some of the key aspects of its molecular cascades, involving effectors such as GluR2 (87,88), Cdk5 (93) and NFkB (100). Moreover, many of these molecular changes identified are now directly linked to the structural, physiological and behavioral changes observed following chronic drug exposure (60,95,97,102). New frontiers of research investigating the molecular roles of ΔFosB have been opened by epigenetic studies, and recent advances have illustrated the role of ΔFosB acting on DNA and histones, truly as a molecular switch (34). As a consequence of our improved understanding of ΔFosB in addiction, it is possible to evaluate the addictive potential of current medications (119), as well as use it as a biomarker for assessing the efficacy of therapeutic interventions (121,122,124). Some of these proposed interventions have limitations (125) or are in their infancy (75). However, it is hoped that some of these preliminary findings may lead to innovative treatments, which are much needed in addiction.

    Biliński P, Wojtyła A, Kapka-Skrzypczak L, Chwedorowicz R, Cyranka M, Studziński T (2012). "Epigenetic regulation in drug addiction". Annals of Agricultural and Environmental Medicine. 19 (3): 491–6. PMID 23020045. For these reasons, ΔFosB is considered a primary and causative transcription factor in creating new neural connections in the reward centre, prefrontal cortex, and other regions of the limbic system. This is reflected in the increased, stable and long-lasting level of sensitivity to cocaine and other drugs, and tendency to relapse even after long periods of abstinence. These newly constructed networks function very efficiently via new pathways as soon as drugs of abuse are further taken ... In this way, the induction of CDK5 gene expression occurs together with suppression of the G9A gene coding for dimethyltransferase acting on the histone H3. A feedback mechanism can be observed in the regulation of these 2 crucial factors that determine the adaptive epigenetic response to cocaine. This depends on ΔFosB inhibiting G9a gene expression, i.e. H3K9me2 synthesis which in turn inhibits transcription factors for ΔFosB. For this reason, the observed hyper-expression of G9a, which ensures high levels of the dimethylated form of histone H3, eliminates the neuronal structural and plasticity effects caused by cocaine by means of this feedback which blocks ΔFosB transcription
    Robison AJ, Nestler EJ (October 2011). "Transcriptional and epigenetic mechanisms of addiction". Nature Reviews. Neuroscience. 12 (11): 623–37. doi:10.1038/nrn3111. PMC 3272277. PMID 21989194. ΔFosB has been linked directly to several addiction-related behaviors ... Importantly, genetic or viral overexpression of ΔJunD, a dominant negative mutant of JunD which antagonizes ΔFosB- and other AP-1-mediated transcriptional activity, in the NAc or OFC blocks these key effects of drug exposure14,22–24. This indicates that ΔFosB is both necessary and sufficient for many of the changes wrought in the brain by chronic drug exposure. ΔFosB is also induced in D1-type NAc MSNs by chronic consumption of several natural rewards, including sucrose, high fat food, sex, wheel running, where it promotes that consumption14,26–30. This implicates ΔFosB in the regulation of natural rewards under normal conditions and perhaps during pathological addictive-like states.
  87. "Concerta product monograph" (PDF). Janssen Pharmaceuticals. Archived (PDF) from the original on 28 January 2017. Retrieved 4 December 2016.
  88. Ishii M, Tatsuzawa Y, Yoshino A, Nomura S (April 2008). "Serotonin syndrome induced by augmentation of SSRI with methylphenidate". Psychiatry and Clinical Neurosciences. 62 (2): 246. doi:10.1111/j.1440-1819.2008.01767.x. PMID 18412855.
  89. Türkoğlu S (2015). "Serotonin syndrome with sertraline and methylphenidate in an adolescent". Clinical Neuropharmacology. 38 (2): 65–6. doi:10.1097/WNF.0000000000000075. PMID 25768857.
  90. Park YM, Jung YK (May 2010). "Manic switch and serotonin syndrome induced by augmentation of paroxetine with methylphenidate in a patient with major depression". Progress in Neuro-Psychopharmacology & Biological Psychiatry. 34 (4): 719–20. doi:10.1016/j.pnpbp.2010.03.016. PMID 20298736.
  91. Bodner RA, Lynch T, Lewis L, Kahn D (February 1995). "Serotonin syndrome". Neurology. 45 (2): 219–23. doi:10.1212/wnl.45.2.219. PMID 7854515.
  92. Patrick KS, González MA, Straughn AB, Markowitz JS (2005). "New methylphenidate formulations for the treatment of attention-deficit/hyperactivity disorder". Expert Opinion on Drug Delivery. 2 (1): 121–43. doi:10.1517/17425247.2.1.121. PMID 16296740.
  93. 93.0 93.1 Markowitz JS, DeVane CL, Boulton DW, Nahas Z, Risch SC, Diamond F, Patrick KS (2000). "Ethylphenidate formation in human subjects after the administration of a single dose of methylphenidate and ethanol". Drug Metabolism and Disposition. 28 (6): 620–4. PMID 10820132.
  94. 94.0 94.1 Markowitz JS, Logan BK, Diamond F, Patrick KS (1999). "Detection of the novel metabolite ethylphenidate after methylphenidate overdose with alcohol coingestion". Journal of Clinical Psychopharmacology. 19 (4): 362–6. doi:10.1097/00004714-199908000-00013. PMID 10440465.
  95. Patrick KS, Straughn AB, Minhinnett RR, Yeatts SD, Herrin AE, DeVane CL, Malcolm R, Janis GC, Markowitz JS (March 2007). "Influence of ethanol and gender on methylphenidate pharmacokinetics and pharmacodynamics". Clinical Pharmacology and Therapeutics. 81 (3): 346–53. doi:10.1038/sj.clpt.6100082. PMC 3188424. PMID 17339864.
  96. Roberts SM, DeMott RP, James RC (1997). "Adrenergic modulation of hepatotoxicity". Drug Metab. Rev. 29 (1–2): 329–53. doi:10.3109/03602539709037587. PMID 9187524.
  97. Markowitz JS, Patrick KS (June 2008). "Differential pharmacokinetics and pharmacodynamics of methylphenidate enantiomers: does chirality matter?". Journal of Clinical Psychopharmacology. 28 (3 Suppl 2): S54-61. doi:10.1097/JCP.0b013e3181733560. PMID 18480678.
  98. Williard RL, Middaugh LD, Zhu HJ, Patrick KS (February 2007). "Methylphenidate and its ethanol transesterification metabolite ethylphenidate: brain disposition, monoamine transporters and motor activity". Behavioural Pharmacology. 18 (1): 39–51. doi:10.1097/fbp.0b013e3280143226. PMID 17218796.
  99. 99.0 99.1 Markowitz JS, DeVane CL, Pestreich LK, Patrick KS, Muniz R (December 2006). "A comprehensive in vitro screening of d-, l-, and dl-threo-methylphenidate: an exploratory study". Journal of Child and Adolescent Psychopharmacology. 16 (6): 687–98. doi:10.1089/cap.2006.16.687. PMID 17201613. Archived from the original on 28 August 2021. Retrieved 5 August 2020.
  100. 100.0 100.1 Malenka RC, Nestler EJ, Hyman SE (2009). "Chapter 6: Widely Projecting Systems: Monoamines, Acetylcholine, and Orexin". In Sydor A, Brown RY (eds.). Molecular Neuropharmacology: A Foundation for Clinical Neuroscience (2nd ed.). New York: McGraw-Hill Medical. pp. 154–157. ISBN 9780071481274.
  101. Steele M, Weiss M, Swanson J, Wang J, Prinzo RS, Binder CE (2006). "A randomized, controlled effectiveness trial of OROS-methylphenidate compared to usual care with immediate-release methylphenidate in attention deficit-hyperactivity disorder". Can J Clin Pharmacol. 13 (1): e50–62. PMID 16456216. Archived from the original (PDF) on 15 December 2011.
  102. 102.0 102.1 102.2 Heal DJ, Pierce DM (2006). "Methylphenidate and its isomers: their role in the treatment of attention-deficit hyperactivity disorder using a transdermal delivery system". CNS Drugs. 20 (9): 713–38. doi:10.2165/00023210-200620090-00002. PMID 16953648.
  103. Iversen L (January 2006). "Neurotransmitter transporters and their impact on the development of psychopharmacology". British Journal of Pharmacology. 147 Suppl 1 (Suppl 1): S82-8. doi:10.1038/sj.bjp.0706428. PMC 1760736. PMID 16402124.
  104. Volkow ND, Fowler JS, Wang G, Ding Y, Gatley SJ (1 January 2002). "Mechanism of action of methylphenidate: insights from PET imaging studies". Journal of Attention Disorders. 6 Suppl 1: S31-43. doi:10.1177/070674370200601s05. PMID 12685517.
  105. Hodgkins P, Shaw M, Coghill D, Hechtman L (September 2012). "Amfetamine and methylphenidate medications for attention-deficit/hyperactivity disorder: complementary treatment options". European Child & Adolescent Psychiatry. 21 (9): 477–92. doi:10.1007/s00787-012-0286-5. PMC 3432777. PMID 22763750.
  106. Hart H, Radua J, Nakao T, Mataix-Cols D, Rubia K (February 2013). "Meta-analysis of functional magnetic resonance imaging studies of inhibition and attention in attention-deficit/hyperactivity disorder: exploring task-specific, stimulant medication, and age effects". JAMA Psychiatry. 70 (2): 185–98. doi:10.1001/jamapsychiatry.2013.277. PMID 23247506.
  107. Spencer TJ, Brown A, Seidman LJ, Valera EM, Makris N, Lomedico A, et al. (September 2013). "Effect of psychostimulants on brain structure and function in ADHD: a qualitative literature review of magnetic resonance imaging-based neuroimaging studies". The Journal of Clinical Psychiatry. 74 (9): 902–17. doi:10.4088/JCP.12r08287. PMC 3801446. PMID 24107764.
  108. Frodl T, Skokauskas N (February 2012). "Meta-analysis of structural MRI studies in children and adults with attention deficit hyperactivity disorder indicates treatment effects". Acta Psychiatrica Scandinavica. 125 (2): 114–26. doi:10.1111/j.1600-0447.2011.01786.x. PMID 22118249. Basal ganglia regions like the right globus pallidus, the right putamen, and the nucleus caudatus are structurally affected in children with ADHD. These changes and alterations in limbic regions like ACC and amygdala are more pronounced in non-treated populations and seem to diminish over time from child to adulthood. Treatment seems to have positive effects on brain structure.
  109. Viggiano D, Vallone D, Sadile A (2004). "Dysfunctions in dopamine systems and ADHD: evidence from animals and modeling". Neural Plasticity. 11 (1–2): 102, 106–107. doi:10.1155/NP.2004.97. PMC 2565441. PMID 15303308.
  110. "Focalin XR". RxList. Archived from the original on 6 August 2020. Retrieved 5 August 2020.
  111. "Focalin XR – Full Prescribing Information" (PDF). Novartis. Archived from the original (PDF) on 14 July 2011.
  112. "Concerta XL 18 mg – 54 mg prolonged release tablets". eMC. Archived from the original on 17 October 2017.
  113. 113.0 113.1 Miller GM (January 2011). "The emerging role of trace amine-associated receptor 1 in the functional regulation of monoamine transporters and dopaminergic activity". Journal of Neurochemistry. 116 (2): 164–76. doi:10.1111/j.1471-4159.2010.07109.x. PMC 3005101. PMID 21073468.
  114. Eiden LE, Weihe E (January 2011). "VMAT2: a dynamic regulator of brain monoaminergic neuronal function interacting with drugs of abuse". Ann. N. Y. Acad. Sci. 1216 (1): 86–98. Bibcode:2011NYASA1216...86E. doi:10.1111/j.1749-6632.2010.05906.x. PMC 4183197. PMID 21272013. VMAT2 is the CNS vesicular transporter for not only the biogenic amines DA, NE, EPI, 5-HT, and HIS, but likely also for the trace amines TYR, PEA, and thyronamine (THYR) ... AMPH release of DA from synapses requires both an action at VMAT2 to release DA to the cytoplasm and a concerted release of DA from the cytoplasm via “reverse transport” through DAT.
  115. Sulzer D, Cragg SJ, Rice ME (August 2016). "Striatal dopamine neurotransmission: regulation of release and uptake". Basal Ganglia. 6 (3): 123–148. doi:10.1016/j.baga.2016.02.001. PMC 4850498. PMID 27141430. Despite the challenges in determining synaptic vesicle pH, the proton gradient across the vesicle membrane is of fundamental importance for its function. Exposure of isolated catecholamine vesicles to protonophores collapses the pH gradient and rapidly redistributes transmitter from inside to outside the vesicle. ... Amphetamine and its derivatives like methamphetamine are weak base compounds that are the only widely used class of drugs known to elicit transmitter release by a non-exocytic mechanism. As substrates for both DAT and VMAT, amphetamines can be taken up to the cytosol and then sequestered in vesicles, where they act to collapse the vesicular pH gradient.
  116. Markowitz JS, DeVane CL, Ramamoorthy S, Zhu HJ (February 2009). "The psychostimulant d-threo-(R,R)-methylphenidate binds as an agonist to the 5HT(1A) receptor". Die Pharmazie. 64 (2): 123–5. PMID 19322953.
  117. 117.0 117.1 117.2 Volz TJ (December 2008). "Neuropharmacological mechanisms underlying the neuroprotective effects of methylphenidate". Current Neuropharmacology. 6 (4): 379–85. doi:10.2174/157015908787386041. PMC 2701286. PMID 19587858.
  118. "Concerta". Drugs.com. 1 October 2018. Archived from the original on 29 September 2018. Retrieved 11 March 2019.
  119. 119.0 119.1 "FDA" (PDF). Archived (PDF) from the original on 10 February 2017. Retrieved 30 January 2019.
  120. Chan YP, Swanson JM, Soldin SS, Thiessen JJ, Macleod SM, Logan W (1983). "Methylphenidate hydrochloride given with or before breakfast: II. Effects on plasma concentration of methylphenidate and ritalinic acid". Pediatrics. 72 (1): 56–59. PMID 6866592.
  121. "Archive copy" (PDF). Archived (PDF) from the original on 19 October 2020. Retrieved 5 August 2020.{{cite web}}: CS1 maint: archived copy as title (link)
  122. "Archive copy" (PDF). Archived (PDF) from the original on 13 December 2020. Retrieved 5 August 2020.{{cite web}}: CS1 maint: archived copy as title (link)
  123. Sun Z, Murry DJ, Sanghani SP, Davis WI, Kedishvili NY, Zou Q, et al. (August 2004). "Methylphenidate is stereoselectively hydrolyzed by human carboxylesterase CES1A1". The Journal of Pharmacology and Experimental Therapeutics. 310 (2): 469–76. doi:10.1124/jpet.104.067116. PMID 15082749.
  124. Froimowitz M, Patrick KS, Cody V (October 1995). "Conformational analysis of methylphenidate and its structural relationship to other dopamine reuptake blockers such as CFT". Pharmaceutical Research. 12 (10): 1430–4. doi:10.1023/A:1016262815984. PMID 8584475.
  125. Prashad M (2001). "Approaches to the Preparation of Enantiomerically Pure (2R,2′R)-(+)-threo-Methylphenidate Hydrochloride". Adv. Synth. Catal. 343 (5): 379–92. doi:10.1002/1615-4169(200107)343:5<379::AID-ADSC379>3.0.CO;2-4.
  126. Axten JM, Krim L, Kung HF, Winkler JD (1998). "A Stereoselective Synthesis ofdl-threo-Methylphenidate: Preparation and Biological Evaluation of Novel Analogues". The Journal of Organic Chemistry. 63 (26): 9628–9629. doi:10.1021/jo982214t.
  127. Singh S (March 2000). "Chemistry, design, and structure-activity relationship of cocaine antagonists". Chemical Reviews. 100 (3): 925–1024. doi:10.1021/cr9700538. PMID 11749256.
  128. R. Baselt, Disposition of Toxic Drugs and Chemicals in Man, 9th edition, Biomedical Publications, Seal Beach, CA, 2011, pp. 1091–93.
  129. Panizzon L (1944). "La preparazione di piridile piperidil-arilacetonitrili e di alcuni prodotti di trasformazione (Parte Ia)". Helvetica Chimica Acta. 27: 1748–56. doi:10.1002/hlca.194402701222.
  130. Meier R, Gross F, Tripod J (May 1954). "[Ritalin, a new synthetic compound with specific analeptic components]". Klinische Wochenschrift. 32 (19–20): 445–50. doi:10.1007/BF01466968. PMID 13164273.
  131. Myers, Richard Leroy (1 January 2007). The 100 Most Important Chemical Compounds: A Reference Guide. ABC-CLIO. p. 178. ISBN 9780313337581. Archived from the original on 2 February 2017. Retrieved 24 September 2016.
  132. Leandro Panizzon et al Pyridine and piperdjine compounds U.S. Patent 2,507,631 Issue date: 16 May 1950
  133. Rudolf Rouietscji et al Process for the conversion of U.S. Patent 2,838,519 Issue date: 10 June 1958
  134. Rudolf Rouietscji et alProcess for the conversion of U.S. Patent 2,957,880 Issue date: 25 October 1960
  135. Myers, Richard L (August 2007). The 100 most important chemical compounds: a reference guide. ABC-CLIO. p. 178. ISBN 978-0-313-33758-1. Retrieved 10 September 2010. named ritalin after his wife.
  136. Stolerman, Ian (2010). Encyclopedia of psychopharmacology. Berlin London: Springer. p. 763. ISBN 978-3540686989.
  137. McCrossin S (1995). "Ritalin and Attention Deficit Disorder: History of its Use, Effects and Side Effects" (PDF). Archived from the original (PDF) on 24 August 2012. Retrieved 22 July 2014.
  138. Bradley, Charles. Benzedrine® and Dexedrine® in the Treatment of Children's Behavior Disorders. Pediatrics 1950; 5:1 24–37
  139. Woodworth, Terrance (16 May 2000). "DEA Congressional Testimony". Archived from the original on 12 October 2007. Retrieved 2 November 2007.
  140. "Newly Approved Drug Therapies (637) Concerta, Alza". CenterWatch. Archived from the original on 16 December 2010. Retrieved 30 April 2011.
  141. 141.0 141.1 Moscibrodzki, Patricia; Katz, Craig (8 December 2018). "Application for Inclusion to the 22nd Expert Committee on the Selection and Use of Essential Medicines: METHYLPHENIDATE HYDROCHLORIDE" (PDF). World Health Organization. Archived (PDF) from the original on 6 August 2020. Retrieved 16 November 2019.
  142. "Label for CONCERTA (methylphenidate HCI) Extended-Release Tablets" (PDF). FDA. January 2017. Archived (PDF) from the original on 22 October 2020. Retrieved 18 June 2020.
  143. Lehmann DF, Wojnowicz S (April 2016). "The Evergreening of Biopharmaceuticals: Time to Defoliate". Journal of Clinical Pharmacology. 56 (4): 383–9. doi:10.1002/jcph.642. PMID 26388527.
  144. "RITALIN LA- methylphenidate hydrochloride capsule, extended release". DailyMed. 5 January 2017. Archived from the original on 26 March 2017. Retrieved 10 September 2018.
  145. "CONCERTA- methylphenidate hydrochloride tablet, extended release". DailyMed. 9 March 2018. Archived from the original on 26 March 2017. Retrieved 10 September 2018.
  146. "Education/Training » Clinical Resources". Illinois DocAssist website. University of Illinois at Chicago. Archived from the original on 1 January 2013. Retrieved 26 July 2012. Ritalin‑SR, methylphenidate SR, Methylin ER, and Metadate ER are the same formulation and have the same drug delivery system
  147. "Apo‑Methylphenidate SR product monograph" (PDF). Apotex Inc. 31 March 2005. "Comparative Bioavailability" section. Retrieved 26 July 2012.[permanent dead link]
  148. "New product: Sandoz Methylphenidate SR 20 mg" (PDF). Sandoz Canada Inc. 5 May 2009. Archived (PDF) from the original on 3 December 2012. Retrieved 26 July 2012. An alternative to Ritalin‑SR from Novartis
  149. "Drugs@FDA: FDA Approved Drug Products". Drugs@FDA: FDA Approved Drug Products. US Food and Drug Administration. Archived from the original on 2 October 2016. Retrieved 1 October 2016.
  150. Hosenbocus S, Chahal R (November 2009). "A review of long-acting medications for ADHD in Canada". Journal of the Canadian Academy of Child and Adolescent Psychiatry. 18 (4): 331–9. PMC 2765387. PMID 19881943.
  151. "Aptensio XR Prescribing Information" (PDF). Archived (PDF) from the original on 2 February 2017. Retrieved 15 April 2017.
  152. 152.0 152.1 152.2 152.3 152.4 Moses, Scott (26 July 2009). "Methylphenidate". Family Practice Notebook. Archived from the original on 14 September 2012. Retrieved 7 August 2012.
  153. "Daytrana transdermal". WebMD. Archived from the original on 11 June 2015. Retrieved 11 June 2015.
  154. "QUILLICHEW ER™ (Methylphenidate HCl extended-release chewable tablets CII) | Pfizer Medical Information – US". www.pfizermedicalinformation.com. Pfizer. Archived from the original on 16 April 2017. Retrieved 16 April 2017.
  155. "Concerta for Kids with ADHD". Pediatrics.about.com. 1 April 2003. Archived from the original on 7 January 2011.
  156. "Concerta (Methylphenidate Extended-Release Tablets) Drug Information: User Reviews, Side Effects, Drug Interactions and Dosage". RxList. Archived from the original on 26 March 2011. Retrieved 30 April 2011.
  157. "Metadate CD". Archived from the original on 10 July 2011.
  158. "QUILLIVANT XR- methylphenidate hydrochloride powder, for suspension NextWave Pharmaceuticals, Inc". Quillivant PI Sheet. Archived from the original on 18 October 2014. Retrieved 13 October 2014.
  159. "Archive copy" (PDF). Archived (PDF) from the original on 15 May 2017. Retrieved 5 August 2020.{{cite web}}: CS1 maint: archived copy as title (link)
  160. Heal DJ, Pierce DM (2006). "Methylphenidate and its isomers: their role in the treatment of attention-deficit hyperactivity disorder using a transdermal delivery system". CNS Drugs. 20 (9): 713–738 (Page:730). doi:10.2165/00023210-200620090-00002. PMID 16953648.
    - Anderson Vanessa R.; Lesley J. Scott (2006). "Methylphenidate Transdermal System In Attention-Deficit Hyperactivity Disorder in Children". Drugs. 66 (8): 1117–1126. doi:10.2165/00003495-200666080-00007. PMID 16789796.
  161. 161.0 161.1 "Product Information: DAYTRANA(R) transdermal patch, methylphenidate transdermal patch" (PDF). 2010. Archived from the original (PDF) on 1 August 2014.
  162. Based on: "Methylphenidate Hydrochloride". International Drug Price Indicator Guide. Archived from the original on 22 January 2018. Retrieved 9 May 2016.
  163. The Ontario Drug Benefit online formulary indicates that, in Ontario, Canada, the local most-expensive methylphenidate product is probably Concerta. Drug prices in the US are often higher than in Canada. The GoodRx website correctly points out that short-term refills (e.g. 30 tablets) often cost more per tablet than longer-term refills (e.g. 90 tablets). For 30 tablets of brand-name Concerta 27 mg, the relevant GoodRx webpage Archived 5 June 2016 at the Wayback Machine offers coupons. However, if a patient ignores the coupons, and if the patient does not shop around, the website indicates that it is possible to pay more than twelve US dollars per defined daily dose. Data retrieved 17 May 2016.
  164. "Green List: Annex to the annual statistical report on psychotropic substances (form P)" (PDF). Archived from the original (PDF) on 31 August 2012. (1.63 MB) 23rd edition. August 2003. International Narcotics Board, Vienna International Centre. Retrieved 2 March 2006.
  165. "Misuse of Drugs Act 1971 (c. 38): SCHEDULE 2: Controlled Drugs". Office of Public Sector Information. Archived from the original on 28 August 2021. Retrieved 15 June 2009.
  166. "Controlled Drugs and Substances Act (S.C. 1996, c. 19)". 25 April 2017. Archived from the original on 3 April 2011. Retrieved 26 April 2017.
  167. "Poisons Standard 2012 as amended made under paragraph 52D(2)(a) of the Therapeutic Goods Act 1989". Therapeutic Goods Administration. 27 November 2014. Archived from the original on 1 July 2015. Retrieved 28 June 2015.
  168. "Decree of the Government of Russian Federation on 25 October 2014 № 1102" (PDF). Archived (PDF) from the original on 26 March 2015. Retrieved 17 October 2019.
  169. "Narkotikastrafflag (1968:64)". Ministry of Justice. Archived from the original on 6 October 2013. Retrieved 15 January 2014.
  170. Frances C, Hoizey G, Millart H, Trenque T (January 2004). "Paediatric methylphenidate (Ritalin) restrictive conditions of prescription in France". Br J Clin Pharmacol. 57 (1): 115–6. doi:10.1046/j.1365-2125.2003.01943.x. PMC 1884413. PMID 14678352.
  171. "The Drugs and Cosmetics Rules, 1945". Ministry of Health & Family Welfare. Government of India. 15 August 2013. pp. 729–730. Archived from the original on 8 August 2016. Retrieved 5 December 2016.
  172. Mehta R, Narcotics Control Bureau. "Drug Law Enforcement Field Officers' Hand Book" (PDF). Ministry of Home Affairs, Government of India. p. 145. Archived (PDF) from the original on 5 March 2017. Retrieved 5 December 2016.
  173. "Hong Kong e-Legislation". Archived from the original on 28 August 2021. Retrieved 5 August 2020.
  174. Lakhan SE, Hagger-Johnson GE (2007). "The impact of prescribed psychotropics on youth". Clin Pract Epidemiol Ment Health. 3 (1): 21. doi:10.1186/1745-0179-3-21. PMC 2100041. PMID 17949504.
  175. "New Research Helps Explain Ritalin's Low Abuse Potential When Taken As Prescribed". NIH.gov. 29 September 1998. Archived from the original on 28 May 2010. Retrieved 30 April 2011.
  176. "Stimulant ADHD Medications: Methylphenidate and Amphetamines". NIDA InfoFacts. Drugabuse.gov. Archived from the original on 26 March 2010. Retrieved 30 April 2011.
  177. Schoenfelder EN, Faraone SV, Kollins SH (June 2014). "Stimulant treatment of ADHD and cigarette smoking: a meta-analysis". Pediatrics. 133 (6): 1070–80. doi:10.1542/peds.2014-0179. PMC 4531271. PMID 24819571.
  178. Karlstad Ø, Zoëga H, Furu K, Bahmanyar S, Martikainen JE, Kieler H, Pottegård A (December 2016). "Use of drugs for ADHD among adults-a multinational study among 15.8 million adults in the Nordic countries". European Journal of Clinical Pharmacology. 72 (12): 1507–1514. doi:10.1007/s00228-016-2125-y. PMC 5110707. PMID 27586399.
  179. Bjarnadottir GD, Haraldsson HM, Rafnar BO, Sigurdsson E, Steingrimsson S, Johannsson M, et al. (29 November 2016). "Prevalent intravenous abuse of methylphenidate among treatment-seeking patients with substance abuse disorders: a descriptive population-based study". Journal of Addiction Medicine. 9 (3): 188–94. doi:10.1097/ADM.0000000000000115. PMC 4450903. PMID 25748561.
  180. Ouellette EM (1991). "Legal issues in the treatment of children with attention deficit hyperactivity disorder". Journal of Child Neurology. 6 Suppl: S68-75. doi:10.1177/0883073891006001S08. PMID 2002217.
  181. Theleritis C, Siarkos K, Katirtzoglou E, Politis A (January 2017). "Pharmacological and Nonpharmacological Treatment for Apathy in Alzheimer Disease : A systematic review across modalities". Journal of Geriatric Psychiatry and Neurology. 30 (1): 26–49. doi:10.1177/0891988716678684. PMID 28248559.
  182. Leddy JJ, Epstein LH, Jaroni JL, Roemmich JN, Paluch RA, Goldfield GS, Lerman C (February 2004). "Influence of methylphenidate on eating in obese men". Obesity Research. 12 (2): 224–32. doi:10.1038/oby.2004.29. PMID 14981214.

External links[edit | edit source]

Identifiers:
  • "Methylphenidate". Drug Information Portal. U.S. National Library of Medicine. Archived from the original on 6 August 2020. Retrieved 5 August 2020.

Categories: [Methylphenidate] [Biology of bipolar disorder] [Carboxylate esters] [Euphoriants] [Johnson & Johnson brands] [Novartis brands] [Methyl esters] [Nootropics] [Norepinephrine-dopamine reuptake inhibitors] [Piperidines] [Sigma agonists] [Stimulants] [Treatment and management of attention deficit hyperactivity disorder] [Vasoconstrictors] [Phenethylamines] [Ergogenic aids] [World Anti-Doping Agency prohibited substances] [RTT]


Download as ZWI file | Last modified: 03/04/2023 04:09:28 | 3 views
☰ Source: https://mdwiki.org/wiki/Methylphenidate | License: CC BY-SA 3.0

ZWI signed:
  Encycloreader by the Knowledge Standards Foundation (KSF) ✓[what is this?]