From Conservapedia Quantum tunneling is ability of a particle to overcome a potential barrier, even though it does not have sufficient energy to do so. This is conceptually similar to a Resurrection, changing from one physical status to another contrary to traditional laws of physics.
An example is an electron being fired at one side of a barrier and reappearing on the other side. The most common example is when the barrier is an insulator, and an electron on one side of the insulator moves to the other side. The term "tunneling" is a bit of a misnomer because the electron does not actually travel through the insulator (insulators do not conduct electricity). It reappears with the same energy it started with.
Quantum tunneling is important in radioactive decay, when an unstable nucleus emits a particle, it utilizes quantum tunneling to do so.
Quantum tunneling is forbidden under classical physics. The instantaneous nature of quantum tunneling appears to defy the theory of relativity, but it is in fact compatible.[1]
Quantum tunneling is considered instantaneous in the Copenhagen interpretation, which is the orthodox view of quantum mechanics. In an experiment published in July 2020, rubidium atoms tunneled through a 1.3 micrometer barrier in 0.61 milliseconds.[2]
To see a quantum tunneling effect, consider a rectangular potential barrier of width
,
, defined as:
and also consider a particle moving from left to right. We will consider a particle of energy
that is less than
as this is where quantum mechanics differs from classical mechanics. To find the wavefunction,
, we must solve the time-independent Schrodinger equation. The wavefunction is defined in the three regions as:
The Schrodinger equation can be rearranged to give:
outside the potential and:
inside it, where:

Hence the wavefunction can be written as:
Where capital letters
to
are unknown constants. Since in
, the
term corresponds to a particle moving to the right, and we know this is not possible,
. Even so, it is clear that
and
correspond to sinusoidal wavefunctions, similar to that of free particles. Hence it is clear that although the particle starts on the left of the barrier and does not have sufficient energy to overcome it, there is some probability that it will be found on the other side. Solving for boundary conditions, it can be found that the transmission probability (probability that the particle tunnels through the barrier),
is equal to:
Since
is imaginary, using:
it can also be written in a form easier to compute as:
The probability the particle is reflected is
This section has advanced mathematical concepts such as complex numbers and hyperbolic trigonometric functions.
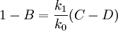
First, We start from the split wavefunction above, remembering that we have already shown
. Then the continuity conditions of a wavefunction (the wavefunction and its first derivative must be continuous) to find four simultaneous equations:



Since there are five variables, only four equations and solutions are linear, we can set
equal to 1. This means that we need to find
to determine the tunneling probability. This gives the equations (with some rearrangement):




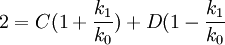
We can eliminate
to get:
We can find
and
as:

Substituting these values for
and
, with some rearranging give:
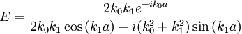
Using Euler's identity, the exponential terms can be rewritten in terms of trigonometric functions:
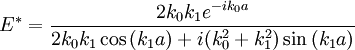
Hence:
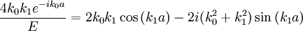
The transmission probability is given by
, so we must find the complex conjugate,
:
To use hyperbolic functions instead, use the substitution:
and the fact
to get:
where


Categories: [Quantum Mechanics]
ZWI signed: