Duffing Oscillator

From Scholarpedia

Figure 1: Periodic change of the chaotic attractor of the Duffing oscillator for \(\alpha=1\ ,\) \(\beta=-1\ ,\) \(\delta=0.2\ ,\) \(\gamma=0.3\ ,\) and \(\omega=1\ .\) By assembling the Poincaré sections of a trajectory for different phase \(\psi \equiv \omega t \mbox{ mod } 2 \pi\ ,\) the attractor of Duffing oscillator changes periodically (see also Figure 1).

Duffing oscillator is an example of a periodically forced oscillator with a nonlinear elasticity, written as \[\tag{1} \ddot x + \delta \dot x + \beta x + \alpha x^3 = \gamma \cos \omega t \ ,\]

where the damping constant obeys \(\delta\geq 0\ ,\) and it is also known as a simple model which yields chaos, as well as van der Pol oscillator.

Contents

[edit] Physical meaning

For \(\beta >0\ ,\) the Duffing oscillator can be interpreted as a forced oscillator with a spring whose restoring force is written as \(F=-\beta x - \alpha x^3\) as shown in Figure 2. When \(\alpha>0\ ,\) this spring is called a hardening spring, and, when \(\alpha<0\ ,\) it is called a softening spring although this interpretation is valid only for small \(x\) (Thompson and Stewart, 2002).

Figure 2: For \(\beta>0\ ,\) the Duffing oscillator can be interpreted as a forced oscillator with a nonlinear spring whose restoring force is written as \(F=-\beta x - \alpha x^3\ .\)

For \(\beta <0\ ,\) the Duffing oscillator describes the dynamics of a point mass in a double well potential, and it can be regarded as a model of a periodically forced steel beam which is deflected toward the two magnets as shown in Figure 3 (Moon and Holmes, 1979; Guckenheimer and Holmes, 1983; Ott, 2002). It is known that chaotic motions can be observed in this case (see below).


Figure 3: For \(\beta<0\ ,\) the Duffing oscillator can be regarded as a model of a periodically forced steel beam which is deflected toward the two magnets.


[edit] Analysis

[edit] The unforced system

In this section, the dynamics of the unforced system (\(\gamma=0\)) is examined. When there is no damping (\(\delta = 0\)), the Duffing equation can be integrated as \[ E(t) \equiv \frac{1}{2} \dot{x}^2 + \frac{1}{2} \beta x^2 + \frac{1}{4} \alpha x^4 = const \ .\] Therefore, in this case, the Duffing equation is a Hamiltonian system. The shape of \(E(t)\) for \(\alpha>0\) is shown in Figure 4, and it can be observed that \(E(t)\) is a single-well potential for \(\beta >0\ ,\) and it is a double-well potential for \(\beta <0\ .\) The trajectory of \(\mathbf{x}\equiv (x, \dot{x})\) moves on the surface of \(E(t)\) keeping \(E(t)\) constant.

Figure 4: The shape of \(E(t)\) and schematic trajectories of the Duffing oscillator in the \((x,\dot{x},E(t))\) space for \(\alpha>0\ .\)

When \(\delta > 0\ ,\) \(E(t)\) satisfies \[ \frac{d E(t)}{dt} = - \delta \dot{x}^2 \leq 0 \ ,\] therefore, the trajectory of \(\mathbf{x}\) moves on the surface of \(E(t)\) so that \(E(t)\) decreases until \(x\) converges to one of the equilibria where \(\dot{x} = 0\) as shown in Figure 4. For \(\alpha>0\ ,\) \(\beta>0\ ,\) and \(\delta>0\ ,\) the only equilibrium is \(\bar{\mathbf{x}}\equiv (0,0)\ ,\) and \(E(t)\) satisfies

Therefore, \(E(t)\) is a Lyapunov function and \(\bar{\mathbf{x}}\) is globally asymptotically stable in this case. On the other hand, for \(\alpha>0\ ,\) \(\beta<0\ ,\) and \(\delta>0\ ,\) there are three equilibria as shown in Figure 4, two of which are at the bottoms of \(E(t)\) and one of which is at its peak. In this case, almost all the initial conditions converge to one of the equilibria at the bottoms, except for the initial conditions on the stable manifold of the equilibrium at the peak.

The equilibria of the Duffing oscillator for \(\gamma=0\) can be obtained by substituting \(\dot{x}=0\) to eq. (1), namely, \[ x(\beta + \alpha x^2) = 0 \ .\] Therefore, the point \(x=0\) is always an equilibrium. Moreover, when \(\alpha \beta <0\ ,\) two equilibria \(x= \pm \sqrt{-\beta/\alpha}\) appear. The stability of these equilibria can be understood by analyzing the eigenvalues of the Jacobian matrix of the equation. Equation (1) for \(\gamma=0\) can be rewritten as \[ \frac{d}{dt} \left( \begin{array}{c} x\\ \dot{x} \end{array} \right) = \left( \begin{array}{c} \dot{x}\\ -\delta \dot{x}-\beta x-\alpha x^3 \end{array} \right) \ ,\] and the Jacobian matrix \(DF(x)\) of the righthand side is calculated as \[ DF(x) = \left( \begin{array}{cc} 0 & 1 \\ -\beta- 3\alpha x^2 & - \delta \end{array} \right) \ .\] Therefore, the eigenvalues of \(DF(x)\) for the equilibrium \(x=0\) is \[ \lambda = \frac{-\delta \pm \sqrt{\delta^2 -4\beta}}{2} \ ,\] and it is found that this equilibrium is stable for \(\beta \geq 0\ ,\) and unstable for \(\beta < 0\ .\) On the other hand, the eigenvalues of the equilibria \(x=\pm \sqrt{-\beta/\alpha}\) are \[ \lambda = \frac{-\delta \pm \sqrt{\delta^2 +8\beta}}{2} \ ,\] and it is found that these equilibria are stable for \(\alpha >0\) and \(\beta < 0\ ,\) and unstable for \(\alpha <0\) and \(\beta > 0\ .\)

[edit] The weakly forced system: nonlinear resonance

Figure 5: Van der Pol plane which rotates around the \((x,\dot{x}/\omega)\) plane clockwise with frequency \(\omega\ .\)

Here we consider the response of the Duffing oscillator to a weak periodic forcing. First, by applying transformations \(\beta = \omega_0^2\ ,\) \(\alpha \rightarrow \epsilon \alpha\ ,\) \(\gamma \rightarrow \epsilon \gamma\ ,\) and \(\delta \rightarrow \epsilon \delta\) to eq.(1), we obtain \[\tag{2} \ddot{x} + \omega_0^2 x= \epsilon (-\delta \dot{x} - \alpha x^3 + \gamma \cos \omega t) \ .\]

Because \(\beta = \omega_0^2 \geq 0\ ,\) eq.(2) describes the response of a weakly nonlinear spring to a weak periodic forcing. In the following, we find an almost sinusoidal solution of frequency \(\omega \simeq \omega_0\ .\)

First, we introduce the van der Pol transformation written as \[\tag{3} u = x \cos \omega t - \frac{\dot{x}}{\omega} \sin \omega t \ ,\]

\[\tag{4} v = -x \sin \omega t - \frac{\dot{x}}{\omega} \cos \omega t \ ,\]

where the \((u,v)\) plane called van der Pol plane rotates around the \((x,\dot{x}/\omega)\) plane clockwise as shown in Figure 5. On this plane, sinusoidal solutions of \((x,\dot{x}/\omega)\) of frequency \(\omega\) are represented as equilibria. By differentiating eqs.(3) and (4) and substituting eq.(2) and \(\omega^2 - \omega_0^2 \equiv \epsilon \Omega\) to them, we obtain \[\tag{5} \dot{u} = \frac{\epsilon}{\omega}\left[-\Omega ( u \cos \omega t - v \sin \omega t) - \omega \delta (u \sin \omega t + v \cos \omega t) + \alpha (u \cos \omega t - v \sin \omega t )^3 -\gamma \cos \omega t \right] \sin \omega t \ ,\]

\[\tag{6} \dot{v} = \frac{\epsilon}{\omega}\left[-\Omega ( u \cos \omega t - v \sin \omega t) - \omega \delta (u \sin \omega t + v \cos \omega t) + \alpha (u \cos \omega t - v \sin \omega t )^3 -\gamma \cos \omega t \right] \cos \omega t \ .\]

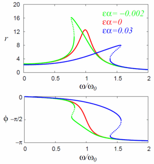
Figure 6: The frequency response function for the Duffing oscillator for \(\omega_0=1\ ,\) \(\epsilon \delta = 0.2\ ,\) and \(\epsilon \gamma=2.5\ .\) The solid and dotted lines correspond to the stable and unstable equilibria, respectively.

Averaging eqs. (5) and (6) over the period \(2\pi /\omega\ ,\) we obtain \[ \dot{u} = \frac{\epsilon}{2\omega}\left[ - \omega \delta u + \Omega v - \frac{3}{4} \alpha ( u^2 + v^2 ) v\right] \ ,\] \[ \dot{v} = \frac{\epsilon}{2\omega}\left[ - \Omega u - \omega \delta v + \frac{3}{4} \alpha ( u^2 + v^2 ) u -\gamma \right] \ ,\] or, in polar coordinates \(r=\sqrt{u^2+v^2}\) and \(\phi = \arctan(v/u)\ ,\) \[\tag{7} \dot{r} = \frac{\epsilon}{2\omega}\left( -\omega \delta r - \gamma \sin \phi\right) \ ,\]

\[\tag{8} r \dot{\phi} = \frac{\epsilon}{2\omega}\left( -\Omega r + \frac{3}{4} \alpha r^3 - \gamma \cos \phi \right) \ .\]

By finding the equilibria of eqs.(7) and (8), the response of the system to a weak periodic forcing can be analyzed. As shown in Figure 6, when \(\alpha=0\ ,\) the frequency response function shows a peak of the usual resonance at \(\omega \simeq \omega_0\ ,\) and, when \(\alpha \ne 0\ ,\) this peak is curved. For a hardening spring (\(\alpha>0\)), the peak curves to the right, and to the left for a softening spring (\(\alpha<0\)). The analytical expressions of the equilibria are shown in Holmes and Rand (1976).

By using van der Pol plane rotating with frequency \(\omega/k\) and defining \(\omega^2 - k^2 \omega_0^2 \equiv \epsilon \Omega\ ,\) the \(k\)th order subharmonics can also be analyzed (Holmes and Holmes, 1981).

[edit] Chaos

Figure 7: By taking the the Poincaré section (in this case, \(\psi\)=0), a chaotic attractor appears.

To examine the response of the system to the periodic forcing, it is convenient to rewrite eq.(1) as \[ \frac{d}{dt} \left( \begin{array}{c} x\\ \dot{x}\\ \psi \end{array} \right) = \left( \begin{array}{c} \dot{x}\\ -\delta \dot{x}-\beta x-\alpha x^3 + \gamma \cos \psi\\ \omega \end{array} \right) \ ,\] where \(\psi(0) =0\ .\) It is also convenient to consider that the \(\psi\) axis describes a circle as shown in Figure 7 because the variable \(\psi\) can be regarded as \(2\pi\)-periodic. By plotting \((x,\dot{x})\) when the system crosses the Poincaré section \(\psi=\psi_0 (const.)\ ,\) a chaotic attractor appears for appropriate values of parameters. Periodic changes of such chaotic attractors when \(\psi_0\) is increased from \(0\) to \(2\pi\) are shown in Figure 1 and Figure 8, and they show the stretching and folding properties of chaos. Particularly, the values of parameters in Figure 8 are same as those used by Yoshisuke Ueda when he found chaos in 1961 (Ueda, 1979, 1980, and 1992). For further information on chaos in the Duffing oscillator, see, e.g., Holmes (1979), Moon and Holmes (1979), Holmes and Whitley (1983), Guckenheimer and Holmes (1983), and Thompson and Stewart (2002).

Figure 8: Periodic change of the chaotic attractor of the Duffing oscillator for \(\alpha=1\ ,\) \(\beta=0\ ,\) \(\delta=0.05\ ,\) \(\gamma=7.5\ ,\) and \(\omega=1\ .\) By assembling the Poincaré sections of a trajectory for different phase \(\psi \equiv \omega t \mbox{ mod } 2 \pi\ ,\) the attractor of Duffing oscillator changes periodically (see also Figure 7). Note that the used values of parameters are same as those used by Yoshisuke Ueda when he found chaos in 1961 (Ueda, 1979, 1980, and 1992).


[edit] References

Internal references


[edit] External links

[edit] See also

Van der Pol oscillator, Stability, Averaging, Chaos


Categories: [Dynamical Systems] [Oscillators]


Download as ZWI file | Last modified: 12/24/2021 09:48:37 | 4 views
☰ Source: http://www.scholarpedia.org/article/Duffing_oscillator | License: CC BY-SA 3.0

ZWI signed:
  Encycloreader by the Knowledge Standards Foundation (KSF) ✓[what is this?]