Symbolic Regression

From Handwiki
Short description: Type of regression analysis
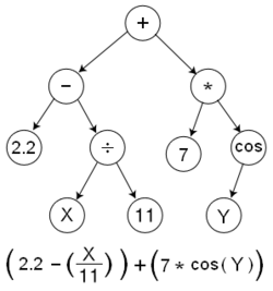
Expression tree as it can be used in symbolic regression to represent a function.

Symbolic regression (SR) is a type of regression analysis that searches the space of mathematical expressions to find the model that best fits a given dataset, both in terms of accuracy and simplicity.

No particular model is provided as a starting point for symbolic regression. Instead, initial expressions are formed by randomly combining mathematical building blocks such as mathematical operators, analytic functions, constants, and state variables. Usually, a subset of these primitives will be specified by the person operating it, but that's not a requirement of the technique. The symbolic regression problem for mathematical functions has been tackled with a variety of methods, including recombining equations most commonly using genetic programming,[1] as well as more recent methods utilizing Bayesian methods[2] and neural networks.[3] Another non-classical alternative method to SR is called Universal Functions Originator (UFO), which has a different mechanism, search-space, and building strategy.[4] Further methods such as Exact Learning attempt to transform the fitting problem into a moments problem in a natural function space, usually built around generalizations of the Meijer-G function.[5]

By not requiring a priori specification of a model, symbolic regression isn't affected by human bias, or unknown gaps in domain knowledge. It attempts to uncover the intrinsic relationships of the dataset, by letting the patterns in the data itself reveal the appropriate models, rather than imposing a model structure that is deemed mathematically tractable from a human perspective. The fitness function that drives the evolution of the models takes into account not only error metrics (to ensure the models accurately predict the data), but also special complexity measures,[6] thus ensuring that the resulting models reveal the data's underlying structure in a way that's understandable from a human perspective. This facilitates reasoning and favors the odds of getting insights about the data-generating system, as well as improving generalisability and extrapolation behaviour by preventing overfitting. Accuracy and simplicity may be left as two separate objectives of the regression—in which case the optimum solutions form a Pareto front—or they may be combined into a single objective by means of a model selection principle such as minimum description length.

It has been proven that symbolic regression is an NP-hard problem, in the sense that one cannot always find the best possible mathematical expression to fit to a given dataset in polynomial time.[7] Nevertheless, if the sought-for equation is not too complex it is possible to solve the symbolic regression problem exactly by generating every possible function (built from some predefined set of operators) and evaluating them on the dataset in question.[8]

Difference from classical regression

While conventional regression techniques seek to optimize the parameters for a pre-specified model structure, symbolic regression avoids imposing prior assumptions, and instead infers the model from the data. In other words, it attempts to discover both model structures and model parameters.

This approach has the disadvantage of having a much larger space to search, because not only the search space in symbolic regression is infinite, but there are an infinite number of models which will perfectly fit a finite data set (provided that the model complexity isn't artificially limited). This means that it will possibly take a symbolic regression algorithm longer to find an appropriate model and parametrization, than traditional regression techniques. This can be attenuated by limiting the set of building blocks provided to the algorithm, based on existing knowledge of the system that produced the data; but in the end, using symbolic regression is a decision that has to be balanced with how much is known about the underlying system.

Nevertheless, this characteristic of symbolic regression also has advantages: because the evolutionary algorithm requires diversity in order to effectively explore the search space, the result is likely to be a selection of high-scoring models (and their corresponding set of parameters). Examining this collection could provide better insight into the underlying process, and allows the user to identify an approximation that better fits their needs in terms of accuracy and simplicity.

Benchmarking

SRBench

In 2021, SRBench[9] was proposed as a large benchmark for symbolic regression. In its inception, SRBench featured 14 symbolic regression methods, 7 other ML methods, and 252 datasets from PMLB. The benchmark intends to be a living project: it encourages the submission of improvements, new datasets, and new methods, to keep track of the state of the art in SR.

SRBench Competition 2022

In 2022, SRBench announced the competition Interpretable Symbolic Regression for Data Science, which was held at the GECCO conference in Boston, MA. The competition pitted nine leading symbolic regression algorithms against each other on a novel set of data problems and considered different evaluation criteria. The competition was organized in two tracks, a synthetic track and a real-world data track.[10]

Synthetic Track

In the synthetic track, methods were compared according to five properties: re-discovery of exact expressions; feature selection; resistance to local optima; extrapolation; and sensitivity to noise. Rankings of the methods were:

  1. QLattice
  2. PySR (Python Symbolic Regression)
  3. uDSR (Deep Symbolic Optimization)

Real-world Track

In the real-world track, methods were trained to build interpretable predictive models for 14-day forecast counts of COVID-19 cases, hospitalizations, and deaths in New York State. These models were reviewed by a subject expert and assigned trust ratings and evaluated for accuracy and simplicity. The ranking of the methods was:

  1. uDSR (Deep Symbolic Optimization)
  2. QLattice
  3. geneticengine (Genetic Engine)

Non-Standard Methods

Most symbolic regression algorithms prevent combinatorial explosion by implementing evolutionary algorithms that iteratively improve the best-fit expression over many generations. Recently, researchers have proposed algorithms utilizing other tactics in AI.

Silviu-Marian Udrescu and Max Tegmark developed the "AI Feynman" algorithm,[11][12] which attempts symbolic regression by training a neural network to represent the mystery function, then runs tests against the neural network to attempt to break up the problem into smaller parts. For example, if [math]\displaystyle{ f(x_1, ..., x_i, x_{i+1}, ..., x_n) = g(x_1,..., x_i) + h(x_{i+1},..., x_n) }[/math], tests against the neural network can recognize the separation and proceed to solve for [math]\displaystyle{ g }[/math] and [math]\displaystyle{ h }[/math] separately and with different variables as inputs. This is an example of divide and conquer, which reduces the size of the problem to be more manageable. AI Feynman also transforms the inputs and outputs of the mystery function in order to produce a new function which can be solved with other techniques, and performs dimensional analysis to reduce the number of independent variables involved. The algorithm was able to "discover" 100 equations from The Feynman Lectures on Physics, while a leading software using evolutionary algorithms, Eureqa, solved only 71. AI Feynman, in contrast to classic symbolic regression methods, requires a very large dataset in order to first train the neural network and is naturally biased towards equations that are common in elementary physics.

Software

End-user software

  • QLattice is a quantum-inspired simulation and machine learning technology that helps search through an infinite list of potential mathematical models to solve a problem.[13][14]
  • Evolutionary Forest is a Genetic Programming-based automated feature construction algorithm for symbolic regression.[15][16]
  • uDSR is a deep learning framework for symbolic optimization tasks[17]
  • dCGP, differentiable Cartesian Genetic Programming in python (free, open source) [18][19]
  • HeuristicLab, a software environment for heuristic and evolutionary algorithms, including symbolic regression (free, open source)
  • GeneXProTools, - an implementation of Gene expression programming technique for various problems including symbolic regression (commercial)
  • Multi Expression Programming X, an implementation of Multi expression programming for symbolic regression and classification (free, open source)
  • Eureqa, evolutionary symbolic regression software (commercial), and software library
  • TuringBot, symbolic regression software based on simulated annealing (commercial)
  • PySR,[20] symbolic regression environment written in Python and Julia, using regularized evolution, simulated annealing, and gradient-free optimization (free, open source)[21]
  • GP-GOMEA, fast (C++ back-end) evolutionary symbolic regression with Python scikit-learn-compatible interface, achieved one of the best trade-offs between accuracy and simplicity of discovered models on SRBench in 2021 (free, open source)

See also

  • Closed-form expression § Conversion from numerical forms
  • Genetic programming
  • Gene expression programming
  • Kolmogorov complexity
  • Linear genetic programming
  • Mathematical optimization
  • Multi expression programming
  • Regression analysis
  • Reverse mathematics
  • Discovery system (AI research)[3]

References

  1. Michael Schmidt; Hod Lipson (2009). "Distilling free-form natural laws from experimental data". Science (American Association for the Advancement of Science) 324 (5923): 81–85. doi:10.1126/science.1165893. PMID 19342586. Bibcode: 2009Sci...324...81S. https://www.science.org/doi/10.1126/science.1165893. 
  2. Ying Jin; Weilin Fu; Jian Kang; Jiadong Guo; Jian Guo (2019). "Bayesian Symbolic Regression". arXiv:1910.08892 [stat.ME].
  3. 3.0 3.1 Silviu-Marian Udrescu; Max Tegmark (2020). "AI Feynman: A physics-inspired method for symbolic regression". Science_Advances (American Association for the Advancement of Science) 6 (16): eaay2631. doi:10.1126/sciadv.aay2631. PMID 32426452. Bibcode: 2020SciA....6.2631U. 
  4. Ali R. Al-Roomi; Mohamed E. El-Hawary (2020). "Universal Functions Originator". Applied Soft Computing (Elsevier B.V.) 94: 106417. doi:10.1016/j.asoc.2020.106417. ISSN 1568-4946. https://www.sciencedirect.com/science/article/pii/S1568494620303574. 
  5. Benedict W. J. Irwin (2021). Exact Learning. doi:10.21203/rs.3.rs-149856/v1. https://assets.researchsquare.com/files/rs-149856/v1_covered.pdf?c=1631872748. 
  6. Ekaterina J. Vladislavleva; Guido F. Smits; Dick Den Hertog (2009). "Order of nonlinearity as a complexity measure for models generated by symbolic regression via pareto genetic programming". IEEE Transactions on Evolutionary Computation 13 (2): 333–349. doi:10.1109/tevc.2008.926486. http://symbolicregression.com/sites/SRDocuments/NonlinearityPreprint.pdf. 
  7. Virgolin, Marco; Pissis, Solon P. (2022-07-05). "Symbolic Regression is NP-hard". arXiv:2207.01018 [cs.NE].
  8. Bartlett, Deaglan; Desmond, Harry; Ferreira, Pedro (2023). "Exhaustive Symbolic Regression". IEEE Transactions on Evolutionary Computation: 1. doi:10.1109/TEVC.2023.3280250. 
  9. La Cava, William; Orzechowski, Patryk; Burlacu, Bogdan; de Franca, Fabricio; Virgolin, Marco; Jin, Ying; Kommenda, Michael; Moore, Jason (2021). "Contemporary Symbolic Regression Methods and their Relative Performance". Proceedings of the Neural Information Processing Systems Track on Datasets and Benchmarks 1. https://datasets-benchmarks-proceedings.neurips.cc/paper/2021/hash/c0c7c76d30bd3dcaefc96f40275bdc0a-Abstract-round1.html. 
  10. "SRBench Competition 2022: Interpretable Symbolic Regression for Data Science". https://cavalab.org/srbench/competition-2022/. 
  11. Udrescu, Silviu-Marian; Tegmark, Max (2020-04-17). "AI Feynman: A physics-inspired method for symbolic regression" (in en). Science Advances 6 (16): eaay2631. doi:10.1126/sciadv.aay2631. ISSN 2375-2548. PMID 32426452. Bibcode: 2020SciA....6.2631U. 
  12. Udrescu, Silviu-Marian; Tan, Andrew; Feng, Jiahai; Neto, Orisvaldo; Wu, Tailin; Tegmark, Max (2020-12-16). "AI Feynman 2.0: Pareto-optimal symbolic regression exploiting graph modularity". arXiv:2006.10782 [cs.LG].
  13. "Feyn is a Python module for running the QLattice". June 22, 2022. https://docs.abzu.ai. 
  14. Kevin René Broløs; Meera Vieira Machado; Chris Cave; Jaan Kasak; Valdemar Stentoft-Hansen; Victor Galindo Batanero; Tom Jelen; Casper Wilstrup (2021-04-12). "An Approach to Symbolic Regression Using Feyn". arXiv:2104.05417 [cs.LG].
  15. Zhang, Hengzhe; Zhou, Aimin; Zhang, Hu (August 2022). "An Evolutionary Forest for Regression". IEEE Transactions on Evolutionary Computation 26 (4): 735–749. doi:10.1109/TEVC.2021.3136667. ISSN 1089-778X. https://ieeexplore.ieee.org/document/9656554/. 
  16. Zhang, Hengzhe; Zhou, Aimin; Chen, Qi; Xue, Bing; Zhang, Mengjie (2023). "SR-Forest: A Genetic Programming based Heterogeneous Ensemble Learning Method". IEEE Transactions on Evolutionary Computation: 1–1. doi:10.1109/TEVC.2023.3243172. ISSN 1089-778X. https://ieeexplore.ieee.org/document/10040601/. 
  17. "Deep symbolic optimization". June 22, 2022. https://github.com/brendenpetersen/deep-symbolic-optimization. 
  18. "Differentiable Cartesian Genetic Programming, v1.6 Documentation". June 10, 2022. https://darioizzo.github.io/dcgp/. 
  19. Izzo, Dario; Biscani, Francesco; Mereta, Alessio (2016). "Differentiable genetic programming". Proceedings of the European Conference on Genetic Programming. 
  20. "High-Performance Symbolic Regression in Python". 18 August 2022. https://github.com/MilesCranmer/PySR. 
  21. "'Machine Scientists' Distill the Laws of Physics From Raw Data". May 10, 2022. https://www.quantamagazine.org/machine-scientists-distill-the-laws-of-physics-from-raw-data-20220510/. 

Further reading

  • Mark J. Willis; Hugo G. Hiden; Ben McKay; Gary A. Montague; Peter Marenbach (1997). "Genetic programming: An introduction and survey of applications". IEE. pp. 314–319. http://www.cs.bham.ac.uk/~wbl/biblio/cache/cache/.hidden_13-jun_1525733794/http___www.staff.ncl.ac.uk_d.p.searson_docs_galesia97surveyofGP.pdf. 
  • Wouter Minnebo; Sean Stijven (2011). "Chapter 4: Symbolic Regression" (PDF). Empowering Knowledge Computing with Variable Selection (M.Sc. thesis). University of Antwerp.
  • John R. Koza; Martin A. Keane; James P. Rice (1993). "Performance improvement of machine learning via automatic discovery of facilitating functions as applied to a problem of symbolic system identification". San Francisco: IEEE. pp. 191–198. http://www.genetic-programming.com/jkpdf/icnn1993impulse.pdf. 

External links

  • Ivan Zelinka (2004). "Symbolic regression — an overview". http://www.mafy.lut.fi/EcmiNL/older/ecmi35/node70.html. 
  • Hansueli Gerber (1998). "Simple Symbolic Regression Using Genetic Programming". http://alphard.ethz.ch/gerber/approx/default.html.  (Java applet) — approximates a function by evolving combinations of simple arithmetic operators, using algorithms developed by John Koza.
  • Katya Vladislavleva. "Symbolic Regression: Function Discovery & More". http://www.symbolicregression.com. 



Retrieved from "https://handwiki.org/wiki/index.php?title=Symbolic_regression&oldid=3367741"

Categories: [Regression analysis] [Genetic programming] [Computer algebra]


Download as ZWI file | Last modified: 05/12/2024 20:39:15 | 6 views
☰ Source: https://handwiki.org/wiki/Symbolic_regression | License: CC BY-SA 3.0

ZWI is not signed. [what is this?]