Ionization Energy

From Conservapedia

Ionization energy is the amount of energy required to "pluck" an electron from its atom. This value is 13.6 eV for the hydrogen atom.

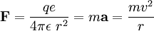
One can calculate the ionization energy of an atom by employing Newton's famous equation:



Through algebraic manipulation,



To find the potential energy,



Then, to find the ionization energy,



The last term can be calculated by substituting numerical values for the atomic radius , charge of the atomic nucleus , and appropriate constants.

The ionization energy is usually measured with the electron volt (eV).


Categories: [Chemistry] [Physics]


Download as ZWI file | Last modified: 02/25/2023 05:53:18 | 2 views
☰ Source: https://www.conservapedia.com/Ionization_energy | License: CC BY-SA 3.0

ZWI signed:
  Encycloreader by the Knowledge Standards Foundation (KSF) ✓[what is this?]