From Conservapedia Tachyons are hypothetical particles that would travel faster than light.
The Special Theory of Relativity does not preclude faster than light travel per se. Rather, there is an impassable barrier at the speed of light itself for particles with any mass. The Lorentz factor becomes infinite, and so an equation like
for the relativistic energy of a particle with mass becomes infinite; in other words, an infinite amount of energy would have to put into the particle from the rest of the universe. One's speed can only asymptotically approach the speed of light, but never cross it.
This does not forbid speeds greater than the speed of light. Rather, since the barrier is impassable, such a particle would have to be "born" there. "Tachyon" is the name given to such a hypothetical particle.
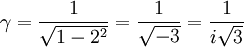
The Lorentz factor of a tachyon would have an imaginary number. For example, a tachyon moving twice the speed of light has
where
is historically called the "imaginary number."Physically, either this produces "imaginary" energy, time passage, length contraction, etc., or the imaginary number is cancelled. An example of this in the above energy equation is if the tachyon has an "imaginary mass." Further attempts at tangible clarification are pure speculation.
Also note that, in contrast with sublight particles, tachyons give Lorentz factors such that

and, in fact, the further past the speed of light a tachyon goes, the closer the Lorentz factor gets to zero:

Currently, there is no experimental evidence for the existence of tachyons.
As detailed in Faster Than Light Travel, tachyons would create the possibility of negative time passage, and thus for some observers of a given spacetime event effects precede their causes: i.e., the tachyon arrives before it leaves. This creates the possibility that certain observers would have "privileged" information, or an early warning, about what is to happen. If they could use that information to change what other observers see happen, such as to keep it from happening at all, then this would create a paradox. Either this is not possible at all, or to preserve spacetime integrity such privileged observers would simply have no ability to effect changes regardless of their wishes. This in turn means that there is predeterminism in the universe, with fundamentally negative implications for the existence free will.
Categories: [Relativity]
ZWI signed: