Heterobimetallic catalysis is an approach to catalysis that employs two different metals to promote a chemical reaction. Included in this definition are cases (Scheme 1) where: 1) each metal activates a different substrate (synergistic catalysis, used interchangeably with the terms "cooperative" and "dual" catalysis.[1]), 2) both metals interact with the same substrate, and 3) only one metal directly interacts with the substrate(s), while the second metal interacts with the first.[2]
Scheme 1: Types of heterobimetallic catalysis
In synergistic catalysis
Complexes of palladium catalyze cross-coupling of electrophiles with organometallic nucleophiles, including those derived from lithium, tin, zinc, and boron.[3] One example is Sonogashira coupling, where catalytic amount of copper salt (e.g. CuI) reacts with a terminal alkyne (the pronucleophile) under basic conditions to generate a copper acetylide, which transmetalates onto an arylpalladiumII halide, regenerating the copper halide. Reductive elimination from the arylpalladium acetylide yields the cross-coupled product.[2]
Other organic pronucleophiles are cross-coupled with arylpalladium halides in the following examples (Scheme 2):
1. Gold-catalyzed cyclization of allenoates followed by cross-coupling with aryl iodides yields 4-arylbutenolides[4]
2. Borylcupration of styrenes followed by palladium-catalyzed cross-coupling with aryl halides generates α-aryl-β-boromethyl functionalized arenes.[5][6] This reaction has been rendered diastereoselective in the case of cyclic styrenes,[7] and an enantioselective variant has also been developed.[8] Enantioselective hydroarylation of styrenes is accomplished similarly via a chiral copper hydride[9]
3. Asymmetric conjugate reduction-allylation of α,β-unsaturated ketones is achieved by Cu-H mediated reduction and subsequent allylation via a chiral PHOX-ligated palladium catalyst[10]
Alternative pronucleophiles employed in synergistic heterobimetallic catalysis
Also of note is the enantioselective allylation of activated nitriles (Scheme 3).[11] A chiral bisphosphine-ligated rhodium catalyst activates the alpha-keto-nitrile component as its corresponding enolate, which is intercepted by a π-allylpalladium complex to yield the α-allylated nitrile in high enantiomeric excess. In the absence of the rhodium catalyst no enantioselectivity is observed, whereas the reaction does not proceed in the absence of palladium.
Scheme 3: Asymmetric allylation of nitrles with a heterobimetallic Rh/Pd catalyst system
With preformed heterobimetallic catalysts
Catalyst systems in which both metal centers are contained in the same complex are also known (e.g. Shibasaki catalysts); further examples are provided below.
Ion-paired combinations of early and late transition metal complexes can simultaneously interact with a substrate as both Lewis acid and Lewis base.[2] For example, carbonylative ring expansion of epoxides (Scheme 4)[12][13][14] is accomplished by Lewis acid activation by cationic complexes of CrIII, TiIII or AlIII with simultaneous ring opening by the [Co(CO)4]− counterion. Carbonylation of the resultant alkylcobalt followed by lactonization releases the product.
Scheme 4: Carbonylation of epoxides catalyzed by a heterobimetallic ion pair
A heterobimetallic bond-breaking process is also employed in the IPrCuFp-catalyzed C-H borylation system developed by Mankad (Scheme 5).[15] Bimetallic cleavage of the B-H bond in pinacolborane generates a copper hydride (IPrCu-H) and an iron boryl [(pin)B-Fp], the latter of which borylates unactivated arenes upon UV irradiation. Bimetallic reductive elimination of H2 from the combination of H-Fp and IPrCu-H restarts the catalytic cycle. The incorporation of copper into the catalyst is essential; C-H borylation using (pin)B-Fp alone is stoichiometric in iron due to dimerization of the HFp byproduct.
Scheme 5: UV-promoted C-H borylation of arenes catalyzed by IPrCuFp
Heterobimetallic catalysts containing persistent M1-M2 bonds exhibit altered reactivity due to interaction of the two different metal centers. For example, allylic amination catalyzed by the binuclear complex [Cl2Ti(NtBuPPh2)2-/Pd(η3-CH2C(CH3)CH2)]+ is exceptionally rapid.[16] DFT studies suggest that a Pd→Ti dative interaction accelerates the typically slow reductive elimination step by withdrawing electron density from Pd in the transition state[17] (Scheme 6).
Scheme 6: Pd/Ti-catalyzed allylic amination with accelerated reductive elimination due to a Pd-to-Ti dative interaction
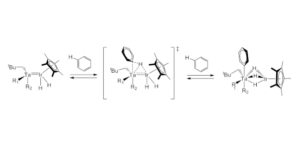
Silica-supported heterobimetallic tantalum iridium catalysts were shown exhibit drastically increased catalytic performances in H/D catalytic exchange reactions with respect to (i) monometallic analogues as well as (ii) homogeneous systems.[18] The key transition state in the C-H activation pathway, computed by DFT, involves (i) donation from the C-H σ orbital to an empty d orbital on the electrophilic early metal (Ta) together with (ii) backdonation from a filled d orbital arising from the late metal (Ir) to the C-H σ* orbital for nucleophilic assistance (Scheme 7). The calculations have shown that steric effects imparted by the ancillary ligands could result in enormous differences in C-H activation energy barriers (ca. 20 kcal/mol-1) in this heterobimetallic cooperative mechanism, indicating that metals accessibility has a drastic impact on the catalytic performances.[19]
Scheme 7: C-H activation promoted by a heterobimetallic tantalum iridium catalyst
In photoredox catalysis
The combination of photoredox catalysis with traditional transition metal catalysis enables the use of visible light to drive challenging steps in a catalytic cycle.[20] For example, nickel-catalyzed aryl amination suffers from a difficult C-N reductive elimination step.[20] Hence instead of nickel, expensive palladium-based precatalysts are often used in combination with sterically encumbered phosphine ligands to facilitate reductive elimination.[20] A more recent approach employs an iridium-based photoredox catalyst to effect single-electron oxidation of the intermediate NiII-amido complex. The resulting NiIII-amido rapidly undergoes reductive elimination,[20] allowing the Ni-catalyzed aryl amination to proceed at room temperature without the use of phosphine ligands.
Scheme 8: Ni-catalyzed aryl amination driven by oxidation of Ni(II) to Ni(III) via photoredox catalysis
Biological significance
Enzymes containing two or more different metal centers are found in several important biological systems; for example, the Mo-Fe protein of nitrogenase[21] catalyzes the conversion of N2 to NH3 in nitrogen fixation. Of more relevance to human biology, Cu-Zn superoxide dismutase protects cells from oxidative stress by converting superoxide, O2−, to O2 and hydrogen peroxide[22]
References
- ↑ Schindler, C.; Jacobsen, E. (May 2013). "A New Twist on Cooperative Catalysis". Science 340 (6136): 1052–1053. doi:10.1126/science.1238769. PMID 23723222. Bibcode: 2013Sci...340.1052S.
- ↑ 2.0 2.1 2.2 Pye, D.; Mankad, N. (March 2017). "Bimetallic catalysis for C–C and C–X coupling reactions". Chemical Science 8 (3): 1705–1718. doi:10.1039/c6sc05556g. PMID 29780450.
- ↑ Organic Synthesis using Transition Metals Rod Bates ISBN:978-1-84127-107-1
- ↑ García-Domínguez, P.; Nevado, C. (March 2016). "Au–Pd Bimetallic Catalysis: The Importance of Anionic Ligands in Catalyst Speciation". J. Am. Chem. Soc. 138 (10): 3266–3269. doi:10.1021/jacs.5b10277. PMID 26952216.
- ↑ Semba, K.; Nakao, Y. (May 2014). "Arylboration of Alkenes by Cooperative Palladium/Copper Catalysis". J. Am. Chem. Soc. 136 (21): 7567–7570. doi:10.1021/ja5029556. PMID 24810227.
- ↑ Smith, K. B.; Logan, K. M.; You, W.; Brown, M. K. (August 2014). "Alkene carboboration enabled by synergistic catalysis". Chem. Eur. J. 20 (38): 12032–12036. doi:10.1002/chem.201404310. PMID 25113669.
- ↑ Logan, K. M.; Smith, K. B.; You, W.; Brown, M. K. (April 2015). "Copper/Palladium Synergistic Catalysis for the syn‐ and anti‐Selective Carboboration of Alkenes". Angew. Chem. Int. Ed. 54 (17): 5228–5231. doi:10.1002/anie.201500396. PMID 25727074.
- ↑ Jia, T.; Cao, P.; Wang, B.; Lou, Yazhou; Yin, X.; Wang, M.; Liao, J. (October 2015). "A Cu/Pd Cooperative Catalysis for Enantioselective Allylboration of Alkenes". J. Am. Chem. Soc. 137 (43): 13760–13763. doi:10.1021/jacs.5b09146. PMID 26458555.
- ↑ Friis, S. D.; Pirnot, M. T.; Buchwald, S. L. (June 2016). "Asymmetric Hydroarylation of Vinylarenes Using a Synergistic Combination of CuH and Pd Catalysis". J. Am. Chem. Soc. 138 (27): 8372–8375. doi:10.1021/jacs.6b04566. PMID 27346525.
- ↑ Nahra, F.; Mac'e, Y.; Riant, O. (February 2013). "Copper/Palladium‐Catalyzed 1,4 Reduction and Asymmetric Allylic Alkylation of α,β‐Unsaturated Ketones: Enantioselective Dual Catalysis". Angew. Chem. Int. Ed. 52 (11): 3208–3212. doi:10.1002/anie.201208612. PMID 23382027.
- ↑ Sawamura, M.; Sudoh, M.; Ito, Y. (April 1996). "An Enantioselective Two-Component Catalyst System: Rh−Pd-Catalyzed Allylic Alkylation of Activated Nitriles". J. Am. Chem. Soc. 118 (137): 3309–3310. doi:10.1021/ja954223e.
- ↑ Schmidt, J. A. R.; Lobkovsky, E. B.; Coates, G. W. (July 2005). "Chromium (III) octaethylporphyrinato tetracarbonylcobaltate: a highly active, selective, and versatile catalyst for epoxide carbonylation". J. Am. Chem. Soc. 127 (32): 11426–11435. doi:10.1021/ja051874u. PMID 16089471.
- ↑ Yutan, D. Y. L. Getzler; Mahadevan, V.; Lobkovsky, E. B.; Coates, G. W. (January 2002). "Synthesis of β-Lactones: A Highly Active and Selective Catalyst for Epoxide Carbonylation". J. Am. Chem. Soc. 124 (7): 1174–1175. doi:10.1021/ja017434u. PMID 11841278.
- ↑ Mulzer, M.; Whiting, B.; Coates, G. W. (June 2013). "Regioselective Carbonylation of trans-Disubstituted Epoxides to β-Lactones: A Viable Entry into syn-Aldol-Type Products". J. Am. Chem. Soc. 135 (30): 10930–10933. doi:10.1021/ja405151n. PMID 23790074.
- ↑ Mankad, N. (December 2013). "Non-Precious Metal Catalysts for C-H Borylation Enabled by Metal–Metal Cooperativity". Synlett 25 (9): 1197–1201. doi:10.1055/s-0033-1340823.
- ↑ Tsutsumi, H; Sunada, Y.; Shiota, Y.; Yoshizawa, K.; Nagashima, H. (March 2009). "Nickel(II), Palladium(II), and Platinum(II) η3-Allyl Complexes Bearing a Bidentate Titanium(IV) Phosphinoamide Ligand: A Ti←M2 Dative Bond Enhances the Electrophilicity of the π-Allyl Moiety". Organometallics 28 (7): 1988–1991. doi:10.1021/om8011085.
- ↑ Walker, W. K.; Kay, B. M.; Michaelis, S.A.; Anderson, D. L.; Smith, S.J.; Ess, D. H.; Michaelis, D.J. (2015). "Origin of Fast Catalysis in Allylic Amination Reactions Catalyzed by Pd-Ti Heterobimetallic Complexes". Journal of the American Chemical Society 137 (23): 7371–7378. doi:10.1021/jacs.5b02428. PMID 25946518.
- ↑ Lassalle, S.; Jabbour, R.; Schiltz, P.; Berruyer, P.; Todorova, T. K.; Veyre, L.; Gajan, D.; Lesage, A. et al. (2019). "Metal–Metal Synergy in Well-Defined Surface Tantalum–Iridium Heterobimetallic Catalysts for H/D Exchange Reactions". Journal of the American Chemical Society 141 (49): 19321–19335. doi:10.1021/jacs.9b08311. PMID 31710215. https://pubs.acs.org/doi/10.1021/jacs.9b08311.
- ↑ Del Rosal, I.; Lassalle, S.; Dinoi, C.; Thieuleux, C.; Maron, L.; Camp, C. (2021). "Mechanistic investigations via DFT support the cooperative heterobimetallic C–H and O–H bond activation across TaIr multiple bonds". Dalton Transactions 50: 504–510. doi:10.1039/D0DT03818K. PMID 33210676. https://hal.archives-ouvertes.fr/hal-03009651/file/manuscript preprint.pdf.
- ↑ 20.0 20.1 20.2 20.3 Corcoran, E. B.; Pirnot, M. T.; Lin, S.; Dreher, S. D.; DiRocco, D. A.; Davies, I. W.; Buchwald, S. L. (July 2016). "Aryl amination using ligand-free Ni(II) salts and photoredox catalysis". Journal of the American Chemical Society 353 (6296): 279–283. doi:10.1126/science.aag0209. PMID 27338703. Bibcode: 2016Sci...353..279C.
- ↑ "Mechanism of Molybdenum Nitrogenase". Chemical Reviews 96 (7): 2983–3011. 1996. doi:10.1021/cr950055x. PMID 11848849.
- ↑ "Crystal structure of bovine Cu,Zn superoxide dismutase at 3 A resolution: chain tracing and metal ligands". Proceedings of the National Academy of Sciences of the United States of America 72 (4): 1349–53. Apr 1975. doi:10.1073/pnas.72.4.1349. PMID 1055410. .
 | Original source: https://en.wikipedia.org/wiki/Heterobimetallic catalysis. Read more |