Electrical Resistance

From Conservapedia

Electrical resistance is a measure of how much a substance impedes the flow of electrons.[1] Resistance is represented with the symbol R, and its SI unit is the Ohm (Ω).

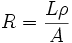
Resistance is caused when the free current carrying electrons in a material are scattered due to collisions in the ion lattice. These collisions are caused by defects and imperfections in the lattice, and by the lattice vibrations. The resistance of an object is therefore given by

where is the length of the object, and is its cross sectional area. is the resistivity of the material the object, a measure of how much the free electrons in a material are scattered by the ion lattice.

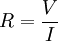
Resistance in a circuit made of purely resistive elements (i.e. no inductors or capacitors) can be calculated by the voltage divided by the current:

See also[edit]

External links[edit]

References[edit]

  1. http://www.answers.com/topic/electrical-resistance-1

Categories: [Electronics] [Electrical Engineering]


Download as ZWI file | Last modified: 02/05/2023 02:25:48 | 3 views
☰ Source: https://www.conservapedia.com/Electrical_resistance | License: CC BY-SA 3.0

ZWI signed:
  Encycloreader by the Knowledge Standards Foundation (KSF) ✓[what is this?]