Pyridine

From Nwe


Pyridine
Pyridine chemical structure.png
IUPAC name Pyridine
Other names Azabenzene
Azine
py
Identifiers
CAS number [[110-86-1&c=1&v= [110-86-1]]]
SMILES C1=NC=CC=C1
Properties
Molecular formula C5H5N
Appearance colourless liquid
Density 0.9819 g/cm³, liquid
Melting point

−41.6 °C

Boiling point

115.2 °C

Solubility in water Miscible
Viscosity 0.94 cP at 20 °C
Hazards
EU classification Flammable (F)
Harmful (Xn)
NFPA 704

NFPA 704.svg

3
2
0
 
Flash point 21 °C
Related Compounds
Related amines Picoline
Quinoline
Related compounds Aniline
Pyrimidine
Except where noted otherwise, data are given for
materials in their standard state
(at 25 °C, 100 kPa)

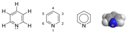
Pyridine is a fundamentally important chemical compound with the formula C5H5N. It is a liquid with a distinctively putrid, fishy odor. Its molecules have a six-membered ring structure that can be found in many compounds, including the nicotinamides.

This compound has numerous applications. It is both a versatile solvent and a building block for a variety of other organic compounds. It is a starting material in the manufacture of insecticides, herbicides, pharmaceuticals, food flavorings, dyes, rubber chemicals, adhesives, paints, explosives, and disinfectants. In addition, it is a denaturant for antifreeze mixtures and is sometimes used as a ligand in coordination chemistry.

Properties

Pyridinium cation.

Pyridine can be classified as a heterocyclic aromatic organic compound. Each molecule of pyridine is a six-membered ring related to the structure of benzene—one CH group in the benzene ring is replaced by a nitrogen atom.

Pyridine has a lone pair of electrons at the nitrogen atom. Because this lone pair is not delocalized into the aromatic system of "pi" electrons, pyridine is basic, with chemical properties similar to those of tertiary amines.

Pyridine is protonated by reaction with acids and forms a positively charged aromatic polyatomic ion called a pyridinium cation. This cation is the conjugate acid of pyridine and its pKa has a value of 5.30.

The bond lengths and bond angles in pyridine and the pyridinium ion are almost identical.[1] This is because protonation of pyridine does not affect the aromatic pi system.

The structure of the pyridine molecule makes it polar. It is thus a polar but aprotic solvent. It is fully miscible with a broad range of other solvents, including hexane and water.

Occurrence and synthesis

Pyridine was originally isolated industrially from crude coal tar. There are now many methods in industry and in the laboratory for the synthesis of pyridine and its derivatives.[2]

Currently, pyridine is synthesized from acetaldehyde, formaldehyde, and ammonia, a process that involves acrolein as an intermediate:

CH2O + NH3 + 2 CH3CHO → C5H5N + 3 H2O

By substituting other aldehydes for acetaldehyde, one can obtain alkyl and aryl substituted pyridines. 26,000 tons were produced worldwide in 1989.[3]

Additional methods of synthesis

Organic reactions

In organic reactions, pyridine behaves as a tertiary amine with protonation, alkylation, acylation and N-oxidation at the nitrogen atom. It also behaves as an aromatic compound with nucleophilic substitutions.

Applications

Safety and environmental issues

Pyridine is toxic. (Its oral lethal dose LD50 in rats was found to be 891 mg kg–1). It is volatile and can be absorbed through the skin. Available data indicate that "exposure to pyridine in drinking-water led to reduction of sperm motility at all dose levels in mice and increased estrous cycle length at the highest dose level in rats".[7]

Currently, its evaluations as a possible carcinogenic agent showed there is inadequate evidence for the carcinogenicity of pyridine in humans, albeit there is limited evidence of carcinogenic effects on animals.

Effects of acute pyridine intoxication include dizziness, headache, nausea, and anorexia. Further symptoms include abdominal pain and pulmonary congestion. Though resistant to oxidation, pyridine is readily degraded by bacteria, releasing ammonium and carbon dioxide as terminal degradation products.[8]

Related compounds

Structurally or chemically related compounds are:

Notes

  1. T.M. Krygowski, H. Szatyowicz, and J.E. Zachara, How H-bonding Modifies Molecular Structure and -Electron Delocalization in the Ring of Pyridine/Pyridinium Derivatives Involved in H-Bond Complexation, J. Org. Chem (70:22:8859-8865). Retrieved November 28, 2007.
  2. T.L. Gilchrist, Heterocyclic Chemistry (Hoboken, NJ: Wiley, 1997). ISBN 0470204818
  3. Shinkichi Shimizu, Nanao Watanabe, Toshiaki Kataoka, Takayuki Shoji, Nobuyuki Abe, Sinji Morishita, Hisao Ichimura, Ullmann's Encyclopedia of Industrial Chemistry: Pyridine and Pyridine Derivatives (Hoboken, NJ: John Wiley & Sons, 1993). ISBN 3527303855
  4. drugfuture.com, Ciamician-Dennstedt Rearrangement. Retrieved November 2, 2007.
  5. Charles H. Tilford, Robert S. Shelton, and M. G. van Campen, Histamine Antagonists. Basically Substituted Pyridine Derivatives, J. Am. Chem (70:12:4001-4009, 1948).
  6. A.R. Sherman, Encyclopedia of Reagents for Organic Synthesis: Pyridine (Hoboken, NJ: J. Wiley & Sons, 2004). ISBN 0471936235
  7. International Agency for Research on Cancer (IARC), Pyridine Summary & Evaluation. IPCS INCHEM. Retrieved November 2, 2007.
  8. G.K. Sims and E.J. O'Loughlin. Degradation of pyridines in the environment, CRC Critical Reviews in Environmental Control (19:4:309-340, 1989).

References
ISBN links support NWE through referral fees

External links

All links retrieved December 6, 2022.


Credits

New World Encyclopedia writers and editors rewrote and completed the Wikipedia article in accordance with New World Encyclopedia standards. This article abides by terms of the Creative Commons CC-by-sa 3.0 License (CC-by-sa), which may be used and disseminated with proper attribution. Credit is due under the terms of this license that can reference both the New World Encyclopedia contributors and the selfless volunteer contributors of the Wikimedia Foundation. To cite this article click here for a list of acceptable citing formats.The history of earlier contributions by wikipedians is accessible to researchers here:

The history of this article since it was imported to New World Encyclopedia:

Note: Some restrictions may apply to use of individual images which are separately licensed.



Download as ZWI file | Last modified: 02/04/2023 08:47:45 | 7 views
☰ Source: https://www.newworldencyclopedia.org/entry/Pyridine | License: CC BY-SA 3.0

ZWI signed:
  Encycloreader by the Knowledge Standards Foundation (KSF) ✓[what is this?]