From Handwiki The Lasri condensation[non-primary source needed] is an organic chemistry reaction where chalcone reacts with a hydrazone to furnish an azine and 3,5-diphenyl-1H-pyrazole.[1] It is named after the Portuguese-Moroccan chemist Jamal Lasri.[2][non-primary source needed]

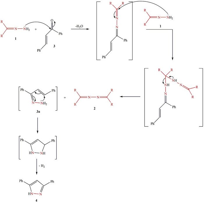
The reaction is started with nucleophilic attack of the amino moiety of hydrazone 1 on the carbonyl group of (E)-1,3-diphenyl-2-propenone 3 to produce the azine intermediate 1-((E)-1,3-diphenylallylidene)-2-(diarylmethylene)hydrazine. This asymmetrical azine then undergoes nucleophilic attack from its diaryl imino sp2-carbon atom by the amino NH2 moiety of hydrazone 1 to afford a second intermediate where the C(sp3)—N bond is cleaved to furnish the symmetrical azine 2. The other product, 1,3-diphenyl-2-propenone hydrazone 3a, cyclizes to afford 2,3-dihydro-3,5-diphenyl-1H-pyrazole[3] which is then rapidly dehydrogenated to yield 3,5-diphenyl-1H-pyrazole 4.[4] In this reaction hydrazone 1 is a source of nitrogen for 3,5-diphenyl-1H-pyrazole 4. Additionally, the reaction does not require the use of any catalyst or promoter.

Categories: [Name reactions] [Condensation reactions] [Pyrazoles] [Hydrazines]