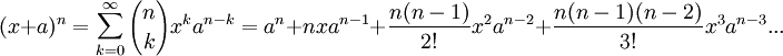
From Conservapedia The binomial theorem, also known as the binomial expansion, describes a method for expanding brackets containing two terms raised to a power as a polynomial.[1] More specifically, it describes how to express a bracket of the form (x+a)n as a polynomial with terms bkxkan-k, for various coefficients bk. When n is natural number, the binomial theorem produces a finite length polynomial, but can also be extended to non-integer n. For n not being a natural number, the binomial expansion of (x+a)n is:[1]

Here,
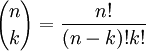
is the binomial coefficient and pronounced "n choose k". It is derived from combinatorics and equal to:

These coefficients for constant n form the rows of Pascal's triangle. The name comes from the Latin, bi-nomin, meaning two names (terms).[2]
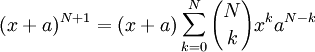
The binomial theorem for integer n can easily be proved using proof by induction.[3] Supposing the theorem is true for n=N. Then:

Multiplying out the bracket, and substituting j=k+1 gives:

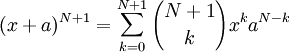
Separating the k=0 and j=N+1 terms, the sums can be combined as:

Using a combinations identity, that
,[3] this can be rewritten as:

Hence if the theorem holds for n=N, it must hold for n=N+1. As it is true for n=0, it is true for all natural numbers.
When the binomial theorem is extended to non-integer n or n<0, the series it creates is infinite:[1]

As it is an infinite series, it is often referred to as the "binomial series". The binomial coefficients are generalised so that n need not be a natural number as:[4]

for k>0 and 1 for k=0. As this series contains an infinite number of terms, one must worry whether it converges or not. In the case of the binomial expansion, it always converges if |x/a|<1 or if n a natural number.[1]
Other generalisations exist such as the multinomial expansion for brackets with more than two terms and the multi-binomial expansion where several binomial brackets are multiplied together.
As an example, consider expanding (x+y)4. It would take a while doing it by hand. Using the binomial theorem, we quickly derive:

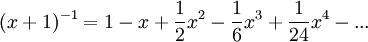
These coefficients form the 5th row of Pascal's triangle. As an example with negative n, consider (x+1)-1:

which will converge for |x|<1.
Categories: [Mathematics] [Algebra]
ZWI signed: