From Conservapedia
An electromagnet is a device that generates a magnetic field when supplied with an electrical current.[1] It is often composed of a core of magnetic material (such as iron) surrounded by a coil of wire as a solenoid. The magnetic field created depends on the electrical current flowing through the coil, meaning that the strength of the magnetic field can be varied, the direction reversed and unlike normal magnets, the magnetic field can be turned off. Electromagnets have a wide variety of uses, ranging from actuators and relays to MRI machines.[2] The strongest electromagnet has a field strength of 45 Tesla.[3]
In 1820, the scientist Hans Christian Ørsted (1777-1851) observed that when he turned a circuit on, the needle of a nearby compass deviated from pointing North.[2] This is the first recorded discovery of how electricity and magnetism are related. In the very same year André-Marie Ampère noticed that a helical current carrying wire acted like a permanent magnet.[4] Dominique François Jean Arago discovered that if an iron or steel bar was placed inside the helical coil, it would become magnetized. Later in 1824, William Sturgeon discovered that placing an iron core inside the coil significantly increased the magnetic field produced by the coil. Sturgeon improved the design further by bending the straight coil into a U shape, similar to the classic horseshoe magnet. Putting the poles closer to each other concentrated the field lines further and increasing the field. Finally Joseph Henry took a similar design to Sturgeon's but insulated the wires. Doing this, Henry created an electromagnet capable of lifting 3,600 pounds in 1832.[4]
Any electrical current in a wire produces a magnetic field. By taking a long wire and wrapping it up into a coil, one effectively concentrates the field or in other words increases it. The physics of electromagnets can be derived from Ampere's law. This states that, "for any closed loop path, the sum of the length elements times the magnetic field in the direction of the length element is equal to the permeability times the electric current enclosed in the loop."[5] Mathematically, for a loop enclosing a current I, this can be expressed as,

where ΔL is a length element in the loop, μ is the permeability and
is the component of the magnetic field parallel to ΔL. In the limit of ΔL going to 0, this can be rewritten as an integral,

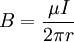
Ampere's law can be used to derive the magnetic field of a straight wire. A straight wire has cylindrical symmetry, so it is expected the magnetic field will reflect this. It will therefore not have any component parallel to the wire. In fact the field will be circular, centred on the wire and parallel to the line element ΔL at any point. This means the field created is,[6]

where r is the radial distance of the point from the wire. In a solenoid with n coils per unit length, the field at its centre can be found as,[7]

When cooled down to low temperatures, the coil may become superconductor meaning it can carry a very large current. Since a larger current means a larger field, superconducting electromagnets are used when the large magnetic fields are required.
There are many applications for electromagnets. They are utilised for both scientific experiments as well as in industrial applications since the strength of the magnetic field required can be easily met by adjusting the current accordingly. Examples of uses include:[2]
Solenoids consist of a coil of wire enveloping a magnetic core, often composed of iron.[2] Solenoids generate an almost uniform field in their centre making them useful in certain scientific experiments. They can also be used to control the movement of a component such as in fuel injectors. Superconducting magnets are able to generate fields on the order of 10-20 Tesla, 150,000 times stronger than the Earth's magnetic field. They are often used in particle accelerators such as the Large Hadron Collider at CERN which uses magnets that produce 8.3 Tesla using a current of 11,080 Amps.[8] Superconducting magnets are also used in MRI machines, and typically produce a field between 0.5-2.0 Tesla.[9] There are also more theoretical applications such as ion propulsion systems on spacecraft.[2]
Categories: [Physics] [Electromagnetism] [Engineering]
ZWI signed: